概述
随着机动车数量的增加,撞击行人的交通事故也越来越频繁。而头部受伤是最常见的伤害类型之一,也是最主要的伤害类型。一般来说,行人被高速的汽车碰撞后,头部碰撞大多数发生在发动机罩区域内,轻则收到皮外伤,重则直接导致死亡。因此,有必要改善汽车发动机罩区域的行人保护性能,尽可能减少头部的伤害。
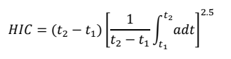
在行人头部碰撞试验中,一般用头部损伤评价标准(head injury criteria,hic)来描述碰撞对头部的伤害程度。头部伤害评价指标 hic 是由碰撞时头部的加速度和一定持续时间决定的。放置于头部冲击器内的加速度传感器测量得到加速度曲线,并通过如下的计算公式得到头部伤害:
式中:tz和t,分别是冲击过程的起始时刻和终止时刻,单位为s,a是碰撞时头部冲击器质心点处的合成加速度,单位为g,通常取tz-t=15ms在当前的产品研发阶段,一般流程如图1所示,虽然借助有限元软件能一定程度提升产品开发效率,但是还是满足不了市场的需求。随着人工智能的火热,借助人工智能来提升产品的研发效率成为大家的共同目标,但是如何借助生成机器学习的代理模型成为大家的共同难题。
图 1 产品开发仿真流程图
本文以某汽车发动机罩系统为研究对象,建立头碰有限元模型,并以其中某一部件的厚度、材料弹性模量以及屈服强度作为设计参数,基于 doe 技术生成样本空间并进行有限元计算,获得头部质心的合成加速度曲线。然后搭建机器学习神经网络,将有限元的输入和输出数据用于 ai 模型的训练,最终结果表明:经过训练后的 ai 模型准确性高,hic 值预测最大误差在 15%以内,而且将 ai 技术应用产品的开发阶段,能有效缩短开发周期,大大降低开发成本。
有限元模型
本文有限元模型如图 2 所示,采用某汽车发动机罩作为 hic 碰撞的主体,主要包括发动机罩、盖板、内板等内部零件组成,车体部分全部采用 shell 单元;假人头部模型简化成半球形,以一定初速度和车盖碰撞;发动机罩、盖板和内板等内部零件之间根据实际情况设置若干焊点单元进行焊接;全模型采用显式算法,设置通用接触,模型节点数量达到 260 万。
图 2 几何模型和 fem 模型
ai 模型
本研究中基于循环神经网络中的 lstm 搭建训练及预测模型。lstm 是一种深度学习循环神经网络,通过遗忘门、输入门和输出门等关键门控单元,解决了传统 rnn 难以处理长序列的问题。它广泛应用于自然语言处理、语音识别、时间序列分析、图像生成和推荐系统等领域。相较于传统前馈神经网络和一般 rnn,lstm 的优势在于能够捕获长期依赖性、避免梯度消失问题、适应可变长度序列、以及更好的记忆能力。因此,lstm 在处理序列数据和时间依赖性任务中表现出色,成为学习 abaqus 有限元模型和结果数据的重要工具。
本文选取发动机罩内板的弹性模量、屈服强度及厚度三个仿真参数进行建模,批量提取不同工况下的头部加速度曲线并计算 hic 值,形成训练所用的样本集。lstm 神经网络算法将所有参数进行数据归一化以提高计算速度和避免信号之间不同数量级带来的计算误差,以一定数量的 abaqus 仿真结果作为机器学习样本,分别以仿真时间、弹性模量、屈服强度、内板厚度为输入层,以头部加速度曲线作为输出层,以实现碰撞过程 hic 值的预测。
图 3 lstm 神经网络示意图
预测结果
本文建立的 lstm 模型,分别以内板厚度、弹性模量、屈服强度和时间节点信息作为输入层,以头部加速度曲线及 hic 值作为输出层建立神经网络学习预测模型。以 abaqus 仿真模拟中提取的头部加速度作为训练样本,每个时间节点上具有头部加速度值,将得到的数据经过 lstm 神经网络进行学习预测,选取一测试样本与仿真结果相比较,得到的加速度曲线如图 4 所示,可以看到神经网络的预测值跟有限元结果计算得到的加速度曲线程度一致性高。hic 对比如表 1 所示,选取的测试样本点准确性高。
图 4 加速度时间曲线对比
表 1 fem 与 ml 的 hic 值结果对比
结论
本文通过 abaqus 有限元数值模拟与 lstm 神经网络相结合的方法,得到以下结论:
(1)本文分析了不同仿真参数(内板弹性模量、屈服强度和厚度)对行人碰撞过程的影响。研究表明,abaqus 有限元仿真计算值与神经网络预测值的最大误差小于 15%,表明 lstm 算法在预测不同参数下行人头部碰撞力学性能方面表现出的良好适应性。整个过程中各项参数设置合理,abaqus 计算值和神经网络预测值具有良好的吻合度,证明将 lstm 神经网络应用于行人保护头型hic 值定量预测是可行的。
(2)本文建立行人头部碰撞有限元仿真模型获取训练样本,使用 lstm 神经网络进行学习与预测,能够预测给定训练样本之外的加速度曲线以及 hic值。与传统的实验相比减少人力物力消耗,节省了时间、材料成本,同时可替代繁琐且耗时的有限元仿真计算,提高企业的研发的效率。
资料来源:达索官方
2025-12-05
[行业资讯] simulia简介-abaqus代理经销商思茂信息
2025-12-05
[行业资讯] 如何合理选购abaqus软件并获取报价?达索代理商思茂信息
2025-12-05
[行业资讯] 思茂信息亮相2025省博士创新站活动 共探产学研新路径
2025-12-02
[cst] cst软件探索eft虚拟测试:从iec标准到3d仿真实战
2025-12-01
[abaqus] abaqus中理想弹塑性模型和弹塑性硬化模型区别
2025-11-28
2025-11-28
2025-11-28
[abaqus] 上课啦!达索系统 simulia abaqus pcb仿真
2025-11-26
[cst] 无参优化器:利用cst和tosca进行拓扑优化之单极天线(
2025-11-26
2023-08-29
2023-08-24
[abaqus] abaqus如何建模?abaqus有限元分析教程
2023-07-07
[abaqus] 有限元分析软件abaqus单位在哪设置?【操作教程】
2023-09-05
[abaqus] abaqus软件中interaction功能模块中的绑定接
2023-07-19
[abaqus] abaqus怎么撤回上一步操作?abauqs教程
2024-05-01
[abaqus] abaqus里面s11、s12和u1、u2是什么意思?s和
2023-08-30
[abaqus] abaqus单位对应关系及参数介绍-abaqus软件
2023-11-20
[abaqus] abaqus软件教程|场变量输出历史变量输出
2023-07-18
[abaqus] abaqus中的s、u、v、e、cf分别是什么意思?
2024-05-11
[行业资讯] simulia简介-abaqus代理经销商思茂信息
2025-12-05
2025-12-05
[行业资讯] 如何合理选购abaqus软件并获取报价?达索代理商思茂信息
2025-12-05
[行业资讯] 思茂信息亮相2025省博士创新站活动 共探产学研新路径
2025-12-02
[行业资讯] 正版abaqus全国代理商:思茂信息——达索授权认证
2025-11-25
[行业资讯] 怎么联系cst studio suite代理商?达索sim
2025-11-25
2025-11-24
[行业资讯] 广东有限元分析软件abaqus采购指南-认准达索授权思茂信
2025-11-21
[行业资讯] 达索abaqus、cst代理商采购流程-指定授权代理商思茂
2025-11-21
[行业资讯] 广东2025半导体及零部件学会发展论坛落幕,广州思茂信息获
2025-11-20
地址: 广州市天河区天河北路663号广东省机械研究所8栋9层 电话:020-38921052 传真:020-38921345 邮箱:thinks@think-s.com
凯发k8官方网娱乐官方 copyright © 2010-2023 广州思茂信息科技有限公司 all rights reserved. 粤icp备11003060号-2