板架结构是舰船和海洋工程结构物广泛采用的结构单元,研究其水下爆炸动响应特性对提高潜艇和海洋工程结构物的生命力有着极其重要的意义。然而由于水下爆炸问题的复杂性,水中结构物在水下爆炸载荷作用下动响应问题的精确理论研究十分困难。由于水中结构物尺寸较大,建造耗资耗时,采用全部模型模拟试验及部分模型模拟试验来预测原型的水下爆炸动响应特性拥有耗资少、建造快的优点。本文即试图从全部模型模拟角度研究水下爆炸结构物动响应的相似性,仅通过模型试验即可全面了解原型结构的水下爆炸动响应特性。
计算模型
为了验证本文提出的相似准则的有效性和进行公式的推导,设计一个板架结构,由七根t型材作支撑采用四边刚固的边界条件置于水面以下5米处。考核其在设计工况下的各种冲击响应,模型的基本结构见图 1。
除图中已经标注的尺寸外,板架结构尺寸见表 1。
表1 板架结构尺寸
本文采用有限元的方法进行板架结构水下爆炸数值计算。abaqus/cae提供很方便的前处理功能,应用其建立板架结构有限元模型及实体流场非常简便。本模型流场采用两层流场处理。内层网格较密,外层网格较粗。流场半径是板架半宽的3倍。由于板架结构置于封闭的流场当中,使得定义板架结构与流场接触时非常困难,这里采用剖分法进行处理。
首先,将流场分为上下两个part,如图3所示。然后,定义各自 part的接触面 surface,在 abaqus模板生成的*.inp文件中,通过 tie 命令定义接触。根据经验本文计算流体单元尺寸为十分之一倍的冲击波波长,求解时间步长取一百分之一倍的冲击波时间衰减常数。
分析方法
板在冲击载荷下的响应相似
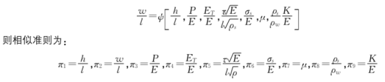
本文将板架结构四周刚固在水下一定深度,受到水下爆炸载荷时看作是弹性材料的动响应问题。确定动态非线性相似结构的相似比,关键在于必须充分考虑材料发生变形后本构关系的时变性,即应变不仅依赖于当时的应力状态,还与加载的历史有关”。因此,对于各向同性的方板来说,表征板动态响应的物理量应包括位移 w(t),时间τ,作用力 p(),泊松比μ,切线模量e,屈服点·,质量密度,尺寸l,弹性模量e,流体的密度。,流体压缩模量 k。
表2模型试验相关参数表
从上表 10个参数中,利用矩阵法表1中参数可得到无量纲数π如下
显然,当且仅当材料一致时,才能使,™,™同时满足,同时考虑流体介质仍用水,则,™,满足。也就是说,在结构强非线性响应相似中,试验样品应与原型使用完全相同的材料制造才能使动态响应有相似的可能。这样将相应得相似倍数代入相似准则可得:
水下爆炸冲击波载荷相似
对于水下爆炸冲击波,这里首先保证爆炸入射能量相等。设药包质量为 w,爆距 r,药包密度p,冲击波超压 p,特征时间t,比冲量i,流体密度p,水中的声速c,取基本变量为p,r,t。冲击波在流体域内固定的表面上所作的功可以表示为能流密度。能流密度是指冲击波在传播方向上经过某一固定面的单位面积内的能流,其表达式为:
本文分析中一致使用相同的水介质,则 满足,λ=1。使用相同炸药密度,又入=1,对于几何相似设爆距相似比为 λ,相似可知入=λ,λ…≡λ,λp =1,λr≡λr。根据以上分析,要求爆距相似比与结构特征尺度相似比相等,即入=2,外载荷即水下爆炸冲击波入射能量相似,并且结构非线性响应也满足相似。
表3最终相似比
计算结果
通过对 abaqus软件参数的合理设置,计算板架结构水下爆炸载荷作用下的冲击响应。根据表3所确定的最终相似比,设置样本尺寸为 2mx2mx50mm,缩尺模型尺寸为1mx1mx25mm。样本计算时间为0.2s,药量为 100kg 当量 tnt炸药,药包置于板架下方 30m处,缩比模型计算时间为 0.1s,药量为 12.5kg当量 tnt炸药,药包置于板架下方 15m处。所选的材料为低碳钢,船体用弹性材料模型及用弹塑性材料模型模拟时,其材料参数为:
密度7800kg/m°;
杨式模量 2x10'mpa;
泊松比 0.3;
表4为 abaqus软件计算所得的原型和模型前五阶固有频率
表4 原型和模型前五阶固有频率
下面图 5.1、6.1、7.1、8.1和 9.1给出板架结构遭受冲击载荷作用后的动能、势能、随机选取某一节点的加速度、速度及位移的时历曲线。各个时历曲线均由3000个输出点组成,将模型时历曲线各点横坐标t按时间缩尺比放大,同时将各纵坐标按表3的缩尺比放大即得处理后的时历曲线如图5.2、6.2、7.2、8.2和 9.2。(曲线中横坐标单位为5,纵坐标单位为各变量的国际单位)
从图中可以看出,表3给出的缩尺比能够简单有效的通过模型试验预测板架结构遭受水下爆炸时的振动响应特性,应用本文提出的相似方法处理后的原型与模型时历曲线吻合的很好。最大误差不超过20%。本文应用 abaqus软件分析水下爆炸冲击波响应时,板架结构的冲击响应符合实际爆炸的冲击响应规律,可以认为利用该软件进行工程计算具有一定的可信度。
为了定量分析板架结构,本文引入冲击谱的概念。冲击谱就是假想中安装在该设备的同一基础上,经受同样瞬态基础冲击运动的一系列不同固有频率的无质量线性振子的最大响应幅值与其固有频率的关系曲线!。由于考核点是在板架上随机选取的,具有一定的偶然性,下面根据原型和模型所有节点的时历曲线,同样采用本文提出的相似方法,给出相应的平均冲击谱图。(曲线中横轴单位为 hz,纵轴单位为 m/s)
图 10 板架结构所有节点的平均冲击谱速度图
从图 10 可以看出应用模型试验模拟原型板架结构的冲击环境,在1-100hz的谱曲线吻合的很好接近等位移,该频率段内载荷比较小,结构的振荡达到最大值。随后在100-400hz频率范围内差异很大可以看成等速度谱,集中了板架结构的前几阶固有频率,因此出现了共振峰。在大于 400hz的高频段,主要是冲击波强迫作用下的响应,反映了外载荷与结构的相互耦合作用,该频段的冲击谱近似看作等加速度谱。模型预测的平均冲击谱速度曲线在各个频率段都与原型曲线吻合良好,只是在个别频率段有些差异,但这种差异不会对整体计算结果造成影响,因为在确定基础的冲击环境时,所关心的是整个频率段,而不是某一单一的频率。
结论
(1)abaqus适应范围较广,计算速度快,精度高,对工程实践有较大意义。
(2)应用该软件分析水下爆炸冲击波响应时,板架结构的冲击响应符合实际爆炸的冲击响应规律,可以认为利用该软件进行工程计算具有一定的可信度。
(3)本文提出的相似理论能够简单有效的通过模型试验预测板架结构遭受水下爆炸时的振动响应特性。
(4)由于模型试验价格低廉,实施方便,本文提出的相似理论能够成为预测水中结构物遭受冲击载荷作用下的振动响应特性分析的有效工具之一。
资料来源:达索官方
2025-12-05
[行业资讯] simulia简介-abaqus代理经销商思茂信息
2025-12-05
[行业资讯] 如何合理选购abaqus软件并获取报价?达索代理商思茂信息
2025-12-05
[行业资讯] 思茂信息亮相2025省博士创新站活动 共探产学研新路径
2025-12-02
[cst] cst软件探索eft虚拟测试:从iec标准到3d仿真实战
2025-12-01
[abaqus] abaqus中理想弹塑性模型和弹塑性硬化模型区别
2025-11-28
2025-11-28
2025-11-28
[abaqus] 上课啦!达索系统 simulia abaqus pcb仿真
2025-11-26
[cst] 无参优化器:利用cst和tosca进行拓扑优化之单极天线(
2025-11-26
2023-08-29
2023-08-24
[abaqus] abaqus如何建模?abaqus有限元分析教程
2023-07-07
[abaqus] 有限元分析软件abaqus单位在哪设置?【操作教程】
2023-09-05
[abaqus] abaqus软件中interaction功能模块中的绑定接
2023-07-19
[abaqus] abaqus怎么撤回上一步操作?abauqs教程
2024-05-01
[abaqus] abaqus里面s11、s12和u1、u2是什么意思?s和
2023-08-30
[abaqus] abaqus单位对应关系及参数介绍-abaqus软件
2023-11-20
[abaqus] abaqus软件教程|场变量输出历史变量输出
2023-07-18
[abaqus] abaqus中的s、u、v、e、cf分别是什么意思?
2024-05-11
[行业资讯] simulia简介-abaqus代理经销商思茂信息
2025-12-05
2025-12-05
[行业资讯] 如何合理选购abaqus软件并获取报价?达索代理商思茂信息
2025-12-05
[行业资讯] 思茂信息亮相2025省博士创新站活动 共探产学研新路径
2025-12-02
[行业资讯] 正版abaqus全国代理商:思茂信息——达索授权认证
2025-11-25
[行业资讯] 怎么联系cst studio suite代理商?达索sim
2025-11-25
2025-11-24
[行业资讯] 广东有限元分析软件abaqus采购指南-认准达索授权思茂信
2025-11-21
[行业资讯] 达索abaqus、cst代理商采购流程-指定授权代理商思茂
2025-11-21
[行业资讯] 广东2025半导体及零部件学会发展论坛落幕,广州思茂信息获
2025-11-20
地址: 广州市天河区天河北路663号广东省机械研究所8栋9层 电话:020-38921052 传真:020-38921345 邮箱:thinks@think-s.com
凯发k8官方网娱乐官方 copyright © 2010-2023 广州思茂信息科技有限公司 all rights reserved. 粤icp备11003060号-2