日常通信的多样性促进了功能型、小型化、轻量化的便携式电子设备(如手机、平板电脑等)的快速发展。然而在运输、储存和使用过程中,这些便携式设备经常会受到跌落冲击,可能会损坏连接集成芯片和印刷电路板(pcb)的小型焊点。因此,微电子封装行业的设计和生产面临着越来越高的可靠性要求。当前主流的封装结构有:高密度封装结构如球栅阵列(bga),芯片级封装(csp),晶圆级封装(wlp),多芯片模块(mcm),表面安装技术(smt)和系统级封装(sip)等(hung 2015),上述微电子封装结构很大程度上影响电子设备的性能。因此,提高板级封装结构在跌落冲击载荷场景下的跌落可靠性,对电子工业的进一步发展具有重要意义。
当前针对焊点在不同负载下的长期机械可靠性开展了相当多的研究工作(andersson 等2009, hegde 等 2009, collins 等 2012, long 等 2016, zhou 等 2017, jiang 等2018)。影响焊点可靠性的因素有很多,一般包括加载方面(如热循环、疲劳、蠕变和电迁移)、焊点性能方面(如弹性模量、屈服强度、剪切强度)和材料形貌方面(金相组织、金属间化合物形成、空穴形成和相变)。考虑到现实中焊点边界条件的设置困难,通常采用板级封装结构来揭示焊点跌落可靠性。然而,对于焊点跌落冲击、热冲击等短期机械可靠性,有限元(finite element,简称 fe)分析的理论基础在速率依赖方面还不够严格。随着有限元仿真技术的飞速发展,隐式动力学分析和显式动力学分析在跌落冲击有限元仿真中得到了广泛的应用。tong 等 (2004) 提出了一种 input-g 等效加速度法来模拟 pcb 跌落过程中的冲击作用。wong 等 (2005) 从理论上研究了 pcb 板在跌落冲击载荷下的动态行为。在上述的可能影响因素中,varghese and dasgupta (2007) 发现过载冲击力和应变率是影响焊点力学性能最重要的因素。在已有文献的基础上,相关学者对有限元模拟和实验研究进行了实践探索,然而由于材料、人工和时间成本昂贵,现有文献中的跌落冲击场景往往不足以全面描述 bga 包装结构在不同材料性能、几何设计和载荷条件下的跌落冲击性能。这已经严重阻碍了电子产品以更实惠的成本快速升级,因此需要以更高的效率进行突破性的方法,做出较为合理的估计。
近年来,人们对机器学习在电子设备中的应用进行了大量研究(borga 等 2018, cremer 等
2019, hu 等 2019, mohammed 等 2020)。然而,对电子封装结构中焊点机械可靠性和寿命预测的研究较少。samavatian 等 (2020) 在传统人工神经网络的基础上开发了相关驱动神经网络(cdnn)算法,用于电子设备中焊点的可靠性评估。该模型根据材料性能、设备配置和热循环变化来预测设备使用寿命。结果表明,该模型在较短的时间内具有较高的预测精度。shiraiwa 等 (2017)采用机器学习方法,考虑了疲劳寿命的不确定性,对结构的疲劳性能进行了预测。liu 等 (2021)在设计和应用过程中使用了包括高斯过程回归和遗传算法在内的六种不同的机器学习模型来预测含有复杂成分的镍基高温合金的屈服强度。上述学者指出,使用机器学习方法对结构和材料疲劳性能预测具有非常大的潜力。据作者所知,机器学习模型尚未应用于封装结构板级跌落可靠性分析。这可能是由于在材料、几何形状和加载条件等广泛参数的研究深入,加大了封装结构的动态冲击模拟中数值收敛性和计算成本方面的挑战。
有限元模拟
本文采用球栅阵列(bga)封装结构对跌落冲击过程进行了有限元模拟。典型的 bga 封装结构原理图如图 1 所示,该封装结构由芯片、环氧树脂模化合物(emc)、焊点、底填充和基板组成。利用商业有限元软件 abaqus/explicit 求解器建立了三维有限元模型,并进行分析。需要注意的是,在数值分析中,假设不同部分之间的界面是完美结合的,没有考虑分层。
集成芯片通过一排焊点与基板相连。几何尺寸为:基片尺寸 42 mm×42 mm×2.5 mm,芯片尺寸 20 mm×20mm×2.2 mm,emc 尺寸 38 mm×38 mm×5.5 mm,焊点之间的球距为 3 mm,焊点直径和高度分别为 2.0 mm 和 1.8 mm。整个焊点的网格划分方案分别如图 2(b)所示。在图 2(a)中强调封装结构与刚性地面之间的接触区域,在并在该区域上指定接触特性。即法向的硬接触和切向的无摩擦接触。此外,动力学分析所涉及的所有材料的力学参数如表 1 所示。焊点中的材料为无铅 sn96.5-ag3.0-cu0.5 (sac305)焊料,该焊料广泛应用于消费类电子器件的封装。在abaqus/explicit 中,所有的输入数据都要求使用一致的单位,因此,本研究始终使用 si 单位系统,即长度为毫米(mm),力为牛顿(n),应力为 mpa (n/mm2),密度为 t/mm3。
图 1. bga 封装结构示意图
图 2. bga 封装结构的有限元模型 (a)几何尺寸; (b) 焊点网格划分图
表 1. bga 有限元模型材料参数
由于应力集中,相互连接的焊点作为机械连接结构时,是整个封装结构中最脆弱的部分。
考虑 sac305 焊料的典型弹塑性本构,其应力应变曲线选用张筱迪等 (2021) 文献中有限元参数,其余材料的弹性变形假设如表 1 所示。为了节省时间,本文不考虑应变速率和工作温度的影响,主要研究机器学习算法的训练和板级 bga 封装结构应力、应变和变形的预测。事实上,焊料的本构对应变率和温度都很敏感,根据之前作者的工作 (long 等 2016, long 等 2017, long 等2020, long 等 2020) 可知不同的应变速率和温度对应不同的应力-应变曲线。因此,可以通过引入一个更全面的焊料材料本构模型来考虑应变率和温度对力学性能的影响,进一步改进本研究中的有限元模拟。
有限元计算结构的机器学习
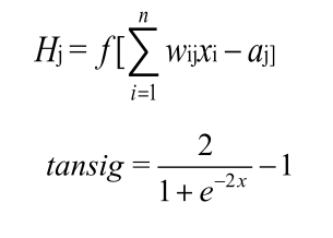
back propagation neural network(bpnn)算法是一种高效的机器学习(machine learning, 简称 ml)方法,基本包括输入层、隐藏层和输出层。由于单隐藏层 bpnn 的学习效率较低,因此多隐层 bpnn 更适合作为大规模数据非线性耦合预测的深度神经网络。通常,bpnn 可以用公式(1) (rumelhart and mcclelland 1986)中的数学表达式表示,其中 xi 为输入层参数,hj为输出层参数,wij为神经元权值,aj为阈值,f 为激活函数。常用的激活函数有 logsig、tansig、purelin 等。本文选用了双曲正切 s 形传递函数 tansig 如公式 (2) 所示。
图 3. bp 神经网络结构计算流程
从第二节有限元模拟中提取 von mises 应力和 peeq 值与空间位置关系,以及翘曲变形位移与时间关系。由于翘曲曲线在 x、y、z 三个方向上的极值不在同一个数量级上,需要分别设置在 x、y、z 三个方向上翘曲位移预测模型。因此,本文建立了 3 组机器学习模型,用于分别预测垂直接触条件下的 von mises 应力、peeq 和 pcb 翘曲变形。
以便携式电子设备的典型落锤高度为 0.8 m 为例,重点研究垂直跌落情况下的三维空间动
态响应。冲击地面具有足够大的杨氏模量,这表明可以忽略地面变形,因此可以视为刚性地面。
假设空气阻力可以忽略,设定初始碰撞速度为 4.0 m/s,重力加速度为 10 m/s-2。将分析时间设定为 3000 μs,以获得完整的冲击过程,设置 bga 距离刚性地面 1 mm 处为跌落初始位置。特别地,von mises 应力被用来评估封装结构中跌落过程中应力分布和可能的应力集中。在应变方面,通常认为等效塑性应变是封装结构塑性变形的重要损伤指标,下文将其记为 peeq。同时 pcb 的翘曲位移对于理解焊点的动态响应具有重要意义。因此,本文在芯片层和基板上定义了一些参考点,如图 4 所示。即点 1-4 和点 5-8 分别为芯片和基板的角点。点 9 和点 10 分别位于芯片和基板的中心。因此,可以根据角点相对于中心的位移来确定 pcb 的翘曲位移。通过有限元分析,采集这 8 个参考点的位移响应,测量芯片和基板的翘曲变形。在每个有限元模型中,焊点中有 1267 个节点,本文提取响应的应力和等效应变描述封装结构在垂直跌落条件下的动态响应。
图 4. bga 结构中确定翘曲变形的参考点 (a)芯片上的参考点;(b)基板上的参考点;
(c)视觉隐藏 emc 的 bga 封装结构的堆叠层
结果与讨论
在本文提出的 bpnn 算法的训练过程中,数据前向传递计算的值与实际数据值之间的误差
会随着迭代次数的增加而减小,直到满足规定的期望精度。所有的训练过程中的激活函数均采用双曲正切 s 形传递函数 tansig。同时设置验证集来避免过拟合,训练集和验证集的比例分别为 95%和 5%,当验证集和训练集个数不为整数时,四舍五入至相邻的整数。另外,在训练过程中,验证集的最大训练次数为 1000,目标误差参数 mse 为 3.5×10-3,上述任一条件满足,则整个训练过程结束。
该 bpnn 算法能够较好地预 bga 结构在垂直跌落过程中动态力学响应。所有训练过程都
可以实现数值收敛。从客观的角度出发,本研究采用了三种统计方法来描述误差。除公式(3)
中定义的传统误差外,公式(4)中定义的平均绝对百分比误差 mape,公式(5)中定义的pearson 相关系数为 r (valencia 等 2019)。然而,在公式(3)和(4)中,peeq 和翘曲变形值都作为分母,部分节点远离碰撞接触的区域,数值通常等于零,因此 error 和 mape 值将趋于无穷大,不代表任何物理意义。公式(5)表示两组随机数之间的相关系数。在本研究中,xi为有限元模拟值,yi为 bpnn 预测值,n 为算法中预测值的个数。一般来说,当 pearson 相关系数 r 值为 0.80-1.00 时,表示两组数据之间具有高度相关性。
图 5. 接触过程中 fe 和 ml 预测的相关性 (a) von mises 应力;(b) von mises 误差;
(c) peeq;(d) 位移;(e) 翘曲变形时间曲线
对于当前接触类型,有限元模拟和机器学习模型之间的预测比较如图 5 所示。在图 5(a)
中数据点主要沿 45° 线分布,r 值为 0.9988,表明在当前垂直跌落条件下,机器学习模型预测von mises 应力值与有限元仿真值高度相关。为了进一步检验预测能力,图 5(b)显示了焊点中所有 1267 个节点的 von mises 应力预测误差。可以看出,大部分误差小于 5%,mape 等于2.6848%。与图 5(a)相似,图 5(c)为训练后的机器学习模型与有限元模拟的等效塑性应变peeq 预测对比,两组数据的 r 值高达 0.9913,表明训练的机器学习模型与有限元模拟密切相关。该图中的一些较大的误差点是因为焊点的所有节点均用于预测,当 von mises 应力或peeq 做分母且其值接近 0 时,预测中很小的 von mises 应力或 peeq 值会导致非常大误差。
因此,这些误差不影响极端工作条件下焊点的机械可靠性评估。图 5(d)中的 r 值为 0.9948时,机器学习预测翘曲变形与有限元模拟的翘曲变形高度一致,表明训练后的机器学习模型可以重现有限元模拟的位移变化。图 5(e)显示了翘曲变形时间历程。选取参考节点 1 和 9 之间x、y、z 方向的翘曲变形。为了更好地描述翘曲过程,只显示 175 μs到 300 μs 之间的 pcb 板
结论
本文通过有限元模拟获得了 bga 封装结构板级垂直跌落冲击的动态响应,重点关注焊点和 pcb 翘曲中的 von mises 应力和 peeq 值。有限元计算结果表明,与刚性地面接触的表面焊点的 von mises 应力和 peeq 均较大。为了降低模拟特定跌落工况下 bga 封装结构跌落冲击的计算成本,本文提出并训练了一种基于 bpnn 算法的机器学习模型,该模型可以很好地建立跌落冲击条件与动力响应之间的相关性,机器学习预测的 von mises 应力值与有限元仿真值的平均绝对百分比误差小于 5%,表明训练的机器学习模型能够准确预测 bga 封装结构的三维板级跌落冲击的动态响应。同时使用机器学习方法和有限元仿真的 peeq 值和翘曲变形时间曲线也具有良好一致性。综合比较表明,所提出的机器学习模型具有足够的准确性。更重要的是,与传统的有限元模拟相比,所提出的机器学习方法在计算效率方面提高 3 个数量级以上。从计算精度和效率的角度来看,本文提出的基于 bpnn 算法的机器学习模型对于预测 bga 封装结构板级跌落冲击动力响应的高非线性多因素问题具有显著的优越性。
资料来源:达索官方
2025-12-05
[行业资讯] simulia简介-abaqus代理经销商思茂信息
2025-12-05
[行业资讯] 如何合理选购abaqus软件并获取报价?达索代理商思茂信息
2025-12-05
[行业资讯] 思茂信息亮相2025省博士创新站活动 共探产学研新路径
2025-12-02
[cst] cst软件探索eft虚拟测试:从iec标准到3d仿真实战
2025-12-01
[abaqus] abaqus中理想弹塑性模型和弹塑性硬化模型区别
2025-11-28
2025-11-28
2025-11-28
[abaqus] 上课啦!达索系统 simulia abaqus pcb仿真
2025-11-26
[cst] 无参优化器:利用cst和tosca进行拓扑优化之单极天线(
2025-11-26
2023-08-29
2023-08-24
[abaqus] abaqus如何建模?abaqus有限元分析教程
2023-07-07
[abaqus] 有限元分析软件abaqus单位在哪设置?【操作教程】
2023-09-05
[abaqus] abaqus软件中interaction功能模块中的绑定接
2023-07-19
[abaqus] abaqus怎么撤回上一步操作?abauqs教程
2024-05-01
[abaqus] abaqus里面s11、s12和u1、u2是什么意思?s和
2023-08-30
[abaqus] abaqus单位对应关系及参数介绍-abaqus软件
2023-11-20
[abaqus] abaqus软件教程|场变量输出历史变量输出
2023-07-18
[abaqus] abaqus中的s、u、v、e、cf分别是什么意思?
2024-05-11
[行业资讯] simulia简介-abaqus代理经销商思茂信息
2025-12-05
2025-12-05
[行业资讯] 如何合理选购abaqus软件并获取报价?达索代理商思茂信息
2025-12-05
[行业资讯] 思茂信息亮相2025省博士创新站活动 共探产学研新路径
2025-12-02
[行业资讯] 正版abaqus全国代理商:思茂信息——达索授权认证
2025-11-25
[行业资讯] 怎么联系cst studio suite代理商?达索sim
2025-11-25
2025-11-24
[行业资讯] 广东有限元分析软件abaqus采购指南-认准达索授权思茂信
2025-11-21
[行业资讯] 达索abaqus、cst代理商采购流程-指定授权代理商思茂
2025-11-21
[行业资讯] 广东2025半导体及零部件学会发展论坛落幕,广州思茂信息获
2025-11-20
地址: 广州市天河区天河北路663号广东省机械研究所8栋9层 电话:020-38921052 传真:020-38921345 邮箱:thinks@think-s.com
凯发k8官方网娱乐官方 copyright © 2010-2023 广州思茂信息科技有限公司 all rights reserved. 粤icp备11003060号-2