1. 引言
混凝土经过长期的发展,已经成为一种质优价廉的建筑材料且广泛应用在日常生产生活当中。混凝土具有抗压不抗拉的显著特性,为了提高其韧性,在承受拉伸荷载(rabczuk 等 2005, rabczuk and belytschko 2006, rabczuk 等 2008, oucif 等 2017)的混凝土构件中添加了抗拉钢筋。钢筋混凝土结构在服役过程中,需承受静态和动态荷载。静态荷载是永久性的,而动态荷载具有时效短、峰值高的特点。在动态荷载中,冲击荷载对结构具有灾难性后果。近年来,钢筋混凝土被广泛地应用各类民用和军事建筑中,如桥梁、隧道、军用防御工事、机库及核安全壳等,其建筑在设计时不但要考虑钢筋混凝土结构在静力和地震作用下的安全性和稳定性,还应兼顾其在爆炸和冲击等高应变率载荷作用下的抵抗能力。弹体侵彻作为实现强冲击载荷的有效手段之一,研究钢筋混凝土结构在其作用下的动态响应显得非常重要。
相对于素混凝土,钢筋混凝土的抗冲击能力以及侵彻钢筋混凝土靶板过程中的弹体阻力由混凝土和钢筋的配置方案共同决定,钢筋强度、直径、间距等因素均会影响弹体侵彻的最终结果。混凝土和钢筋混凝土结构的冲击性能研究在过去几十年中受到了广泛关注,大多数学者从有限元的角度对侵彻钢筋混凝土问题进行了研究。但已有研究大多数是从既有的实验结果对相关侵彻过程进行分析,很难做到结合多种工况对侵彻过程中重要参数进行预测,实现混凝土抗侵彻力学性能预测。同时由于侵彻问题的特殊性,实验往往需要消耗大量的人力物力,很难做到多工况相结合的侵彻研究。数值模拟可以很好的解决实验条件有限这一不足,但数值模拟往往伴随复杂的计算过程和大量的计算,需要付出较大的时间成本。因此,需要寻找一种省时、高效的方法提高对侵彻问题的研究效率以及侵彻过程相关参数的预测。elm 算法具有良好的自学能力和概括能力,在预测、识别和线性拟合等方面具有优越的表现,该算法随机选取输入层权值和隐藏层阈值,输出层权值由隐含层相关参数依据广义逆矩阵理论计算解析求出。理论研究表明,即使随机生成隐藏层节点,elm 仍保持单隐含层前馈神经网络(single-hidden layer feedforward neural network,slfn)的通用逼近能力,且从学习效率的角度来看,极限学习机具有训练参数少、学习速度快、泛化能力强的优点。
综上所述,已有研究中较多利用实验和数值模拟研究分析钢筋混凝土抗侵彻的力学性能和侵彻过程中的重要参数,尚未有运用神经网络技术预测钢筋混凝土抗侵彻动态性能的研究。本文提出一种将侵彻仿真模拟与 elm 神经网络相结合的新方法,然后将其成功应用于弹体侵彻钢筋混凝土的动态性能研究。分别使用 jh-2 混凝土损伤模型和 johnson-cook 塑性材料模型对混凝土和钢筋建立不同工况下的有限元仿真模型,分析 crh 值对弹体剩余速度的影响。以 crh 值和初始速度等作为输入层,将批量提取的弹体剩余速度作为输出层建立预测模型,从而实现预测钢筋混凝土抗侵彻动态性能。该方法能代替人工量大且耗时的有限元仿真、分析和数据后处理等工作,提高弹体侵彻钢筋混凝土问题的研究效率。
2. jh-2 模型介绍
本文利用 jh-2 模型对混凝土材料进行了模拟。jh-2 模型是 johnson-holmquist(jh-1)模型的第二个版本,jh-1 模型在材料完全破坏前不会软化,而在完全破坏时软化立即发生。脆性材料在冲击过程中会有一段软化过程,jh-2 模型的应力和损伤是压力和其他变量的分析函数,以更系统的方式对常数进行参数变化;当损伤开始累积时,jh-2 模型材料开始软化,允许材料在塑性应变增加的情况下逐渐软化,能够模拟脆性材料的冲击行为(johnson and holmquist 1990, johnson and holmquist 1994)。jh-2 模型包括完整强度、断裂强度、应变率、静水压力以及与损伤相关的强度模型、损伤模型和多项式形式的状态方程。
2.1 强度模型
混凝土强度用归一化等效应力定义如下:
2.2 损伤模型
jh-2 模型中使用的断裂损伤的累积方式 johnson-cook 断裂模型中使用的方式相似。其表示为:
2.3 状态方程
为了表示混凝土材料在高压作用下的非线性变形特性,静水压力 p 与体积应变 μ 之间的关系用三次多项式状态方程表示为:
图 2. 压力-体积应变关系
本研究中钢筋使用 johnson-cook 塑性模型,该模型能够模拟金属的应变硬化、软化、塑性流动和屈服,该模型已有较多学者进行了研究(johnson and cook 1985),不过多赘述。
3. 模型介绍
3.1 模型介绍及验证
本文有效验证了吴昊等(wu 等 2015)等的实验,该实验将 jh-2 和 johnson-cook 材料模型应用于钢筋混凝土的冲击试验中,表 1 给出了无侧限抗压强度为 41mpa 的 jh-2 模型的材料参数,表 2 给出了 钢筋材 料参数 。 在仿真模拟中,用三维可变形实体模拟尺寸为675mm×675mm×200mm 钢筋混凝土板的冲击过程。弹体采用离散刚体单元进行建模,在参考点分配 0.386kg 质量,总长为 152mm,直径是 25.3mm,crh 是 3,撞击速度为 640m/s,具体尺寸信息如图 3 所示。将钢筋模拟为直径是 6mm 的桁架单元,并嵌入混凝土实体中,即钢筋节点的运动约束到混凝土实体的节点上。弹体与钢筋混凝土之间的接触类型采用节点侵蚀,即一旦接触面被侵蚀,基于单元曲面的节点将从接触域中移除。钢筋混凝土板的边缘在平动和转动方向都是固定的,弹体在参考点处除冲击方向外,所有的平动和转动方向都是固定的。考虑了钢筋具有延展性和明显的应变率效应,为了更好的模拟混凝土的冲击行为,扩大了网格细化空间的范围,在钢筋混凝板上创建一个半径为 20mm 的圆形冲击区域,以提高模拟结果的精确性和计算效率,网格大小为 3mm(c3d8r),钢筋混凝土板的其余地方网格大小为 5mm(c3d8r)。为了简化模型和减小计算量,模拟采用 1/2 试样大小进行。纵向和横向钢筋网格采用尺寸为 2mm 的两节点三维桁架单元(t3d2),弹丸网格采用尺寸为 2mm 的四节点三维双线性刚性四边形(r3d4)。
表 1 混凝土材料参数
图 3. 钢筋混凝土及弹体几何尺寸
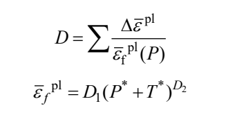
实际工程中,为保证弹体达到较好的侵彻性能以及防止跳蛋现象的产生,一般侵彻弹 crh均控制在 5 以内。本节研究了不同速度下 crh 对钢筋混凝土试样抗弹道性能的影响。在冲击速度为538m/s、601m/s、640m/s和729m/s的情况下,不同弹头系数(crh为0、2、2.5、3、3.5、4)对侵彻过程中弹体剩余速度的影响。为确保实验的准确性,混凝土和钢筋的机械性能和相关参数与表 1 和表 2 中所示的相同,弹体的其他参数同上一节。
3.2 crh 对侵彻过程的影响
本节研究了在冲击速度为 538m/s、601m/s、640m/s 和 729m/s 的情况下,不同弹头系数(crh 为 0、2、2.5、3、3.5、4)对侵彻过程中弹体剩余速度的影响。为确保实验的准确性,混凝土和钢筋的机械性能和相关参数与表 1 和表 2 中所示的相同,弹体的其他参数同上一节。钢筋混凝土板的损伤分布如图 4 所示,图中可以看出弹体 crh 对钢筋混凝土板的损伤分布有显著影响。弹体未完全穿透靶板前,先在钢筋混凝土板中产生压缩波,随着侵彻的进行,钢筋混凝土板中部自由区域形成的拉伸波增大了底部边缘的损伤变量,远端自由面的损伤逐渐积累,从而引起开裂,如图中 0.2ms 时的损伤分布,并且对损伤的影响主要集中在开坑阶段。靶板阻力因开裂而下降,冲击能量随着侵彻的进行逐渐被吸收,弹体速度逐渐降低,最终趋于平缓。
图 4. 在不同 crh 侵彻过程中钢筋混凝土板的损伤分布
图 5 以 crh=3.0 和 crh=3.5 的仿真模拟结果为例给出了侵彻过程中钢筋网拉、压力随时间的变化过程。结合图 4 中钢筋混凝土靶板的损伤分布可知,在侵彻前期,钢筋网主要承受压力。
随着侵彻的进行,钢筋混凝土靶板开始因损伤的积累而破碎,并且接近表面的第一层钢筋网开始承受拉力,随着侵彻过程中的进行,整个钢筋网的抗拉作用开始显现,承受的拉力也逐渐增大。此外,根据靶板的损伤以及钢筋网的受力分布可知,crh 主要影响该模型中开坑阶段钢筋网的受力分布,在进入隧道阶段时,钢筋网的受力相差不大,这也与损伤分布相对应。
图 5. 在不同 crh 侵彻过程中钢筋混凝土板内部钢筋网拉压力分布
图 6 显示了不同 crh 对钢筋混凝土试样抗弹性能的影响。如图 6(a)所示,侵彻弹体头部越尖,crh 对于侵彻过程中弹体的剩余速度影响越小,对于卵形而言,弹体初始速度越大,crh 影响越大。图 6(b)给出了同一速度下(640m/s)crh对弹体剩余速度的影响,从图中可知,随着侵彻的进行,弹体头部 crh 值对弹体速度的影响逐渐变大。
图 6. 不同 crh 对钢筋混凝土试样抗弹性能的影响
4. 机器学习介绍
4.1 神经网络结构
elm 算法是一种新型的快速学习算法,已经广泛应用于函数估计、模型识别和数据压缩。其在训练阶段不再采用基于梯度的算法(后向传播),而是随机初始化输入层权值和隐含层偏置值,对于输出层权重则通过广义逆矩阵理论计算得到,这种训练方法使其在保证学习精度的前提下比传统学习算法具有更快的速度,提高研究问题的效率。该算法主要包含输入层、隐藏层和输出层,训练过程中的权重和阈值不断进行调整,实现混凝土抗侵彻力学性能的预测。
本文根据弹体侵彻钢筋混凝土靶板数值仿真参数进行建模,批量提取弹体上不同时刻的速度,形成训练所用的样本集。elm 神经网络算法将所有参数进行数据归一化以提高计算速度和避免信号之间不同数量级带来的计算误差,以 24 组 abaqus 仿真结果作为机器学习样本,分别以弹体头部系数、初始速度和时间序列信息为输入层,以弹体剩余速度作为输出层,以实现侵彻过程中弹体剩余速度的预测。本文使用的神经网络学习流程和训练过程如图 7 和图 8 所示:
图 7. elm 学习流程图
从图 8 中可以看出,神经网络在进行训练的过程中,需要先对 elm 进行初始化设置,然后输入训练样本并设置输入层和隐藏层的节点数,最后调整隐含层节点个数和激活函数并误差计算,直到满足要求后,训练结束。
图 8. elm 训练过程图
4.2 神经网络预测结果
本研究所建立的 elm 模型,分别以 crh、弹体初始速度和时间节点信息作为输入层,以弹体剩余速度作为输出层建立神经网络学习预测模型。以初始速度为 538m/s、601m/s、640m/s和729m/s,crh为0、2、2.5、3、3.5和4共计24种工况进行仿真实验,如表3所示。以 abaqus仿真模拟中提取的弹体剩余速度作为训练样本,将 10μs 作为一个时间节点,共计 101 个时间节点,记录相应弹体上的速度值。每个时间节点上具有 crh 值和弹体初始速度值,将得到的数据经过 elm 神经网络进行学习预测,并与数值仿真结果相比较。
表 3 工况介绍表
在训练网络的过程中,为了保证网络的鲁棒性和良好的泛化性能,对输入数据点进行随机中断和归一化处理。如图 9(a)所示,fe 和 elm 预测的数据分布范围基本相同,elm 得到的残余速度点与有限元预测的残余速度点非常接近。图 9(b)给出了两组数据之间的误差结果。
显然,fe 和 elm 的预测是一致的,它们之间的完美线性关系用代表理想预测的黑线表示,剩余速度点越接近黑线,预测结果越准确。红色的虚线是拟合线性回归线,其斜率为 0.956,接近于理想预测线。尤为重要的是,该模型整个训练过程耗时极短,只有 0.036秒。因此,机器学习预测模型可以相对可靠地预测钢筋混凝土抗侵彻力学性能,同时在满足精度的条件下,能够有效提高侵彻问题的研究效率。
为了研究参考数据集中相对误差(relative error, re)的分布特征,在图 9(c)中,用密度直方图统计了训练过程中 re 的分布特征。根据密度直方图的形状,re 的分布与正态分布相似并采用均值和标准差两个参数对 re 进行统计表征,两个值分别为 0.147%和 2.867%,均值和标准差均较低,表明 re 在统计学上很小,这也验证了预测结果的准确性。此外,概率密度函数(probability density function, pdf)采用核密度估计(kernel density estimation, kde)进行评估。拟合的概率密度函数集中分布在区域内,整个分布范围内的累积分布函数(cumulative distribution function, cdf)可通过对概率密度函数进行积分得到。根据图 9(c)可以得出,拟合 pdf 描述了其密度在±5%范围内的分布特征,该区域的概率为 0.953,说明大部分 re 都在±5%范围内,验证了采用 elm 预测结果的可信度。
5. 结果及分析
随着钢筋混凝土结构在防护工程中的广泛应用,研究其抗侵彻动态力学性能显得尤为重要。本文通过有限元数值模拟与机器学习相结合的方法,得到以下主要成果:
(1)本文分析了不同弹体参数对侵彻过程的影响。研究表明,同一速度下,crh 值对混凝土板的损伤影响主要体现在开坑阶段。另外,侵彻弹体头部越尖,crh 值对于侵彻过程中弹体的剩余速度影响越小,对最终剩余速度的影响较大。
(2)弹体侵彻钢筋混凝土有限元仿真计算值与神经网络预测值的相对误差为 5%,pearson 相关系数在 0.98 以上,表明 elm 算法在预测不同工况下钢筋混凝土抗侵彻力学性能方面表现出的良好适应性。整个过程中各项参数设置合理,abaqus 计算值和文献实验值具有良好的吻合度,证明将 elm 神经网络应用于钢筋混凝土抗侵彻力学性能预测是可行的。
(3)本文建立弹体侵彻钢筋混凝土有限元仿真模型获取训练样本,使用 elm 神经网络进行学习与预测,能够预测给定训练样本之外的工况中钢筋混凝土抗侵彻力学性能。与传统的实验相比减少人力物力消耗,节省了时间、材料成本,同时可替代繁琐且耗时的有限元仿真建模、分析及后处理过程,提高侵彻问题的研究效率。
资料来源:达索官方
2025-12-05
[行业资讯] simulia简介-abaqus代理经销商思茂信息
2025-12-05
[行业资讯] 如何合理选购abaqus软件并获取报价?达索代理商思茂信息
2025-12-05
[行业资讯] 思茂信息亮相2025省博士创新站活动 共探产学研新路径
2025-12-02
[cst] cst软件探索eft虚拟测试:从iec标准到3d仿真实战
2025-12-01
[abaqus] abaqus中理想弹塑性模型和弹塑性硬化模型区别
2025-11-28
2025-11-28
2025-11-28
[abaqus] 上课啦!达索系统 simulia abaqus pcb仿真
2025-11-26
[cst] 无参优化器:利用cst和tosca进行拓扑优化之单极天线(
2025-11-26
2023-08-29
2023-08-24
[abaqus] abaqus如何建模?abaqus有限元分析教程
2023-07-07
[abaqus] 有限元分析软件abaqus单位在哪设置?【操作教程】
2023-09-05
[abaqus] abaqus软件中interaction功能模块中的绑定接
2023-07-19
[abaqus] abaqus怎么撤回上一步操作?abauqs教程
2024-05-01
[abaqus] abaqus里面s11、s12和u1、u2是什么意思?s和
2023-08-30
[abaqus] abaqus单位对应关系及参数介绍-abaqus软件
2023-11-20
[abaqus] abaqus软件教程|场变量输出历史变量输出
2023-07-18
[abaqus] abaqus中的s、u、v、e、cf分别是什么意思?
2024-05-11
[行业资讯] simulia简介-abaqus代理经销商思茂信息
2025-12-05
2025-12-05
[行业资讯] 如何合理选购abaqus软件并获取报价?达索代理商思茂信息
2025-12-05
[行业资讯] 思茂信息亮相2025省博士创新站活动 共探产学研新路径
2025-12-02
[行业资讯] 正版abaqus全国代理商:思茂信息——达索授权认证
2025-11-25
[行业资讯] 怎么联系cst studio suite代理商?达索sim
2025-11-25
2025-11-24
[行业资讯] 广东有限元分析软件abaqus采购指南-认准达索授权思茂信
2025-11-21
[行业资讯] 达索abaqus、cst代理商采购流程-指定授权代理商思茂
2025-11-21
[行业资讯] 广东2025半导体及零部件学会发展论坛落幕,广州思茂信息获
2025-11-20
地址: 广州市天河区天河北路663号广东省机械研究所8栋9层 电话:020-38921052 传真:020-38921345 邮箱:thinks@think-s.com
凯发k8官方网娱乐官方 copyright © 2010-2023 广州思茂信息科技有限公司 all rights reserved. 粤icp备11003060号-2