0引言
汽车在行驶过程中,与附近的气流相互作用会产生风噪,降低座舱舒适性和语音清晰度,其响度随车速的增加而变大。长久以来作为车内主要噪声的发动机噪声和轮胎噪声得益于技术
进步逐渐降低,原本被掩蔽的风噪便凸显出来,对于气密性良好的汽车,与造型相关的风噪成为控制重点。
流场中的固体可分为钝体和流线体,在高雷诺数下,钝体会在下游产生气流分离区,分离区内气流紊乱,压力和速度脉动剧烈,并向四周辐射噪声。汽车的外后视镜就是典型的钝体,其安装位置距离司机和前排乘客很近,并且侧窗玻璃隔声效果薄弱,因而外后视镜成为汽车风噪的主要声源之一,国内外针对外后视镜的风噪研究和优化文献层出不穷。
外后视镜虽然受到如法规、成本、布置、重量、视野稳定性等众多因素的制约,其风噪性能仍能通过造型优化获得可观的提升,例如江昊等人通过连续伴随方法对后视镜造型进行风噪优化,车内响应最大获得高达2db的收益。
风噪分析和优化一般采用油泥模型风洞试验和风噪仿真方法,然而国内整车气动声学风洞屈指可数,试验成本高昂,而风噪仿真凭借数值方法的进步和计算资源的丰富正在逐渐替代常规的油泥模型风洞试验。
1风噪仿真方法
风噪仿真的主流技术路线包含两个步骤,第一步是通过计算流体力学(cfd)仿真获取汽车外表面附近的流场变量,如速度、压力和涡量,第二步是从流场变量中提取表面的瞬态压力载荷,通过统计能量分析(sea)方法获取车内的响应,也就是司机和乘客在车内感受到的风噪。
1.1外部流场计算
用于汽车风噪仿真的cfd方法虽然类型众多,但本质上都要求速度和压力满足不可压缩粘性流体的动量方程:
p为密度,p为压力,v为运动粘度,如果有外力的作用,还可以在右边加上外力项。该方程为非线性偏微分方程,难以获取精确解,由此衍生出各种各样的数值解法。其中,诞生于上世纪90年代格子玻尔兹曼方法(lbm)作为一种新颖方法,近年来获得大量关注和应用。
传统cfd方法一般直接对动量方程进行离散化,而lbm采用统计物理学思想,在宏观和微观之间的介观尺度对粒子分布函数进行计算,再积分获得流场变量,使其满足动量方程,具有相对清晰的物理机制和较高的并行计算效率。
基于lbm的商用cfd软件powerflow受到国内外多家主机厂的认可,在精度和计算效率之间取得了较好的平衡,本文涉及的仿真算例均通过该软件完成。
2.2舱内噪声计算
用于舱内噪声计算的sea方法的思想源于室内声学,在一个声腔中,频率响应是大量简正波的共振峰叠加,在频率足够高时,共振峰密度较大,不同峰的差异不可辨认,声学泰斗马大猷将此时的声场比作由大量“声粒子”组成的气体,均匀、连续地分布,充斥着整个空腔,因此,可以用平均声压代表其余位置的响应。在这种情况下,声能与平均声压之间的关系可用下式表示:
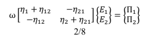
式中,es为声能,p为平均声压,p0为空气密度,c为声速,vi为声腔体积。将压力换算为声腔的声能,通过如下两声腔系统的能量平衡方程计算声腔之间的能量流动、声腔内部的阻尼、外界输入的声能便可获取目标声腔中的声压响应。
式中,w为声腔系统的固有频率,[n]为系统的损耗因子,{e}为声腔系统的声能,{π}为系统的输入功率。
最后,将流场计算得到的表面瞬态压力通过波数分解提取声压载荷,输入到建立的 sea 模型中,就可以获得目标声腔的响应。
3 仿真模型
仿真模拟整车在正风车速 112kph 工况下的舱内驾驶员头部区域的噪声。网格总数约为 2.5亿,最小尺寸为 0.5mm。
图 1 整车风噪仿真模型示意图
不考虑气密性的情况下,玻璃的隔声量远低于车身钣金,可认为车外声源绝大部分通过前风窗玻璃和前侧窗玻璃传入舱内驾驶员头部区域。
混响时间和车窗玻璃的阻尼损耗因子都是影响车内噪声的关键参数,为了仿真结果准确性,本文通过测试手段获得混响时间和车窗玻璃阻尼损耗因子。表1 为实车测试得到的舱内混响时间。
表 1 舱内混响时间
通过瞬态衰减法测试前风挡玻璃和前侧窗玻璃的阻尼损耗因子。瞬态衰减法是一种基于振动能量在结构中的衰减率来测试内损耗因子的方法。此方法给结构施加一脉冲激励,通过分析振动能量衰减过程来求得内损耗因子n
式中,dr为频响曲线衰减率,f为频率。图 2 为前侧窗玻璃的阻尼损耗因子测试示意图,圆点为加速度传感器布置位置,方点为力锤敲击位置。
图 2 玻璃阻尼损耗因子测试示意图
多次敲击车窗玻璃不同位置的脉冲响应,经过图 3 所示的信号处理流程和公式(4),获得图4 所示的前风窗玻璃和前侧窗玻璃的阻尼损耗因子。
图 3 玻璃阻尼损耗因子测试信号处理流程
图 4 前风窗玻璃和前侧窗玻璃的阻尼损耗因子
4 仿真与试验结果对比
仿真得到舱内驾驶员头部区域噪声总声压级曲线,并与风洞试验结果进行对比,从图 5 可
知,
(1)风洞试验和仿真在整体趋势上是一致的,误差<7.95%;
(2)在低频段 160~400hz,试验值高于仿真值,因为风洞试验中车辆底盘未封堵,底盘噪声对低频噪声有较大贡献,而仿真模型并未考虑车辆地板这条传递路径;
(3)在中高频 1250~6300hz,试验值和仿真值的差异可能是试验车辆的玻璃厚度和仿真模型的玻璃厚度存在差异所致。从试验的声压级曲线显示,吻合频率在 5500hz,而仿真的声压级曲线显示,吻合频率是 5000hz,说明实车的玻璃厚度可能小于仿真模型的玻璃厚度。
图 5 舱内驾驶员头部区域噪声总声压级曲线的试验与仿真对比
5 仿真结果分析
图 6 为仿真的舱内驾驶员头部区域 1/3 倍频程 a 计权声压级曲线,包括前风窗玻璃和前侧窗传入舱内的声压级曲线和总声压级曲线。从图中可以看出,左前侧窗是舱内驾驶员头部区域噪声总声压级的主要贡献。
图 6 舱内驾驶员头部区域声压级仿真曲线
图 7 为带后视镜和不带后视镜两种仿真工况下的舱内驾驶员头部区域噪声总声压级曲线。从图中可以看出,后视镜对舱内驾驶员头部区域噪声的贡献量较大,对总体声压级的贡献是1.6db(a),在部分频段可达到 3.2db(a)。
图 7 有/无后视镜的舱内驾驶员头部区域声压级仿真曲线
下面着重分析主要贡献前侧窗玻璃表面的载荷分布。图 8 为前侧窗玻璃上的湍流压力脉动云图,前侧窗湍流压力脉动源于后视镜三角台阶尾涡、后视镜镜柄尾涡和 a 柱尾涡。图 9 为前侧窗玻璃上的声波压力脉动,前侧窗声波压力脉动源于后视镜三角台阶尾涡和后视镜镜柄尾涡。
图 8 前侧窗湍流压力脉动云图
图 9 前侧窗声波压力脉动云图
图 10 为车外流场涡心云图。从图中可知,前侧窗周围声源较强的区域包括后视镜尾涡、后视镜三角台阶尾涡、落水槽尾涡和 a 柱涡流。
图 10 车外流场涡心云图
结合上述前侧窗玻璃表面压力脉动分布和车外流场声源分布,进一步考察后视镜附近的声能密度分布。图 11 和图 12 分别为 x=2.35m 和 z=1.24m 平面的声能密度云图。从图中可知,声能密度热点区域主要在后视镜三角台阶后缘、后视镜镜壳内侧和后视镜镜柄后缘。
图 11 x=2.35 平面的声能密度云图
图 12 z=1.24m 平面的声能密度云图
6 后视镜风噪优化方案
通过上述仿真结果分析,从后视镜主要声源区域进行改进:
(1)方案 1:优化后视镜三角台阶后缘倒角,改善后视镜三角台阶尾涡,如图 13 所示,白色造型面为原始状态,灰色造型面为方案;
(2)方案 2:在方案 1 的基础上,优化后视镜镜壳内侧造型,如图 14 所示,改善流动贴体性。
13(a)原始状态 13(b)方案 1
图 13 后视镜三角台阶后缘倒角优化
14(a)原始状态 14(b)方案 2
图 14 后视镜镜壳内侧造型优化
图 15 为原状态和方案改进后的舱内驾驶员头部区域噪声总声压级曲线。与原状态相比,方案 1 和 2 在中高频段 1000~6300hz 有明显的改善,方案 1 在部分频段最多降低 1db,方案 2 在部分频段最多降低 2.75db。方案 1 和方案 2 的前侧窗玻璃湍流压力脉动和声波压力脉动如图 16和图 17 所示。对比图 8 和图 9,改进方案的湍流压力脉动和声波压力脉动在强度上和分布区域上均有减小。
图 15 原状态和方案改进后的舱内驾驶员头部区域噪声总声压级曲线
16(a)湍流压力脉动 16(b)声波压力脉动
图 16 方案 1 前侧窗玻璃压力脉动云图
17(a)湍流压力脉动 17(b)声波压力脉动
图 17 方案 2 前侧窗玻璃压力脉动云图
7 结论
(1)仿真和试验结果趋势一致,吻合良好,表明了仿真方法的可行性和仿真结果的可靠性;
(2)从仿真结果可知,两种后视镜改进方案对 1000~6300hz 的中高频噪声均有明显改善,分别在部分频段最多降低 1db(a)和 2.75db(a),且改善了前侧窗玻璃上脉动压力的强度和分布,表明了改进方案的有效性;
(3)采用 lbm/sea 进行整车风噪仿真和造型优化能有效降低舱内风噪声,该方法具有前期风噪开发工程应用价值。
资料来源:达索官方
2025-12-05
[行业资讯] simulia简介-abaqus代理经销商思茂信息
2025-12-05
[行业资讯] 如何合理选购abaqus软件并获取报价?达索代理商思茂信息
2025-12-05
[行业资讯] 思茂信息亮相2025省博士创新站活动 共探产学研新路径
2025-12-02
[cst] cst软件探索eft虚拟测试:从iec标准到3d仿真实战
2025-12-01
[abaqus] abaqus中理想弹塑性模型和弹塑性硬化模型区别
2025-11-28
2025-11-28
2025-11-28
[abaqus] 上课啦!达索系统 simulia abaqus pcb仿真
2025-11-26
[cst] 无参优化器:利用cst和tosca进行拓扑优化之单极天线(
2025-11-26
2023-08-29
2023-08-24
[abaqus] abaqus如何建模?abaqus有限元分析教程
2023-07-07
[abaqus] 有限元分析软件abaqus单位在哪设置?【操作教程】
2023-09-05
[abaqus] abaqus软件中interaction功能模块中的绑定接
2023-07-19
[abaqus] abaqus怎么撤回上一步操作?abauqs教程
2024-05-01
[abaqus] abaqus里面s11、s12和u1、u2是什么意思?s和
2023-08-30
[abaqus] abaqus单位对应关系及参数介绍-abaqus软件
2023-11-20
[abaqus] abaqus软件教程|场变量输出历史变量输出
2023-07-18
[abaqus] abaqus中的s、u、v、e、cf分别是什么意思?
2024-05-11
[行业资讯] simulia简介-abaqus代理经销商思茂信息
2025-12-05
2025-12-05
[行业资讯] 如何合理选购abaqus软件并获取报价?达索代理商思茂信息
2025-12-05
[行业资讯] 思茂信息亮相2025省博士创新站活动 共探产学研新路径
2025-12-02
[行业资讯] 正版abaqus全国代理商:思茂信息——达索授权认证
2025-11-25
[行业资讯] 怎么联系cst studio suite代理商?达索sim
2025-11-25
2025-11-24
[行业资讯] 广东有限元分析软件abaqus采购指南-认准达索授权思茂信
2025-11-21
[行业资讯] 达索abaqus、cst代理商采购流程-指定授权代理商思茂
2025-11-21
[行业资讯] 广东2025半导体及零部件学会发展论坛落幕,广州思茂信息获
2025-11-20
地址: 广州市天河区天河北路663号广东省机械研究所8栋9层 电话:020-38921052 传真:020-38921345 邮箱:thinks@think-s.com
凯发k8官方网娱乐官方 copyright © 2010-2023 广州思茂信息科技有限公司 all rights reserved. 粤icp备11003060号-2