1.引言
随着现代计算机并行计算能力飞速提升以及众多cfd软件日益成熟,数值风洞得到了越来越多城市规划、建筑设计和结构工程领域学者和工程师的青睐。数值风洞方法,即利用计算流体动力学方法在计算机中模拟建筑结构附近流场,从而确定建筑周围流场以及表面风效应。该方法具有试验条件易于控制、可进行足尺模拟以及试验成本较低等明显优势。但由于实际建筑为典型钝体,其流场特征涉及到复杂三维流动和高雷诺数等湍流问题,其计算结果受cfd算法、网格模型以及边界入口处理等用户设置参数影响,往往需要软件使用者拥有扎实cfd理论基础和实际工程实践经验。
根据cfd计算原理的不同,实际工程应用中主要出现了以有限体积法、格子boltzman、光滑粒子流体动力学sph以及分子动力学模拟的大量cfd软件。在建筑风工程计算领域,国内外主要基于以有限体积法为代表的系列软件,开展了大量关于城市风气候环境模拟的数值验证和技术指南研究[1-4]。然而,由于有限体积法的局限性,近年来国内外学者开展了基于格子boltzman方法的建筑数值风洞研究工作[6-8]。
基于格子玻尔兹曼方法xflow软件能够适应不同计算对象的复杂几何特性,具有高效的计算效率和良好的并行性,被广泛应用于航空航天、海洋工程和车辆工程等领域[9]。然而,目前国内基于xflow开展的建筑工程仿真分析案例积累较少、缺少建筑数值风洞数值标定工作等原因,限制了xflow在建筑领域风工程相关问题的应用。
本文基于单体标准建筑风洞试验模型的风环境测试结果,开展xflow建筑数值风洞数值标定工作,详细介绍了xflow建筑数值风洞的计算域设置、网格划分策略、大涡模拟求解参数设置等,同时通过设置多个算例分析湍流模型、壁面函数模型以及湍流初始化等多因素对计算结果的影响,总结了xflow软件使用特点,为xflow在建筑数值风洞的工程实践应用提供了技术参考。
2.建筑数值风洞模拟设置
2.1计算域设置
基于新一代计算流体力学软件xflow,针对单体标准建筑模型(1:1:2)建立建筑数值风洞模型。建筑尺寸取0.16*0.16*0.32m(宽度记为b)。确定计算域范围如图1所示,高度方向取4倍建筑高度(h),水平宽度取5倍建筑物高度(h),迎风面距入口4.5倍建筑物高度,背风面距出口10倍建筑物高度以保证湍流的充分发展,且能避免出口边界的回流。模型阻塞率小于3%,符合建筑数值风洞的计算要求。
图1单体建筑数值风洞计算域示意图
计算域网格及建筑表面网格划分基于xflow多层格子加密技术,即采用不同尺寸精度的格子结构进行空间离散化,过程主要分为背景计算域网格划分、建筑表面网格加密以及加密区网格设置三个步骤。1)确定全局计算域网格基本尺寸dx为0.08m(0.5b);2)建筑表面采用靠近壁面细化方式,最小网格尺寸设置为b/32,然后xflow将从建筑表面最小分辨率开始逐渐增大2倍,以接近全局计算域基本尺度分辨率,形成格子的八叉树结构,即以2的倍数因子来适应空间和时间尺度。3)采用两层矩形盒对建筑周围空间进行局部加密,以捕捉更多流场信息。最外层加密盒的尺寸范围取2.2*0.6*1m,求解格子尺寸设置为b/4,最内层加密盒尺寸范围为1.14*0.4*0.64,求解格子尺寸设置为b/8。为了避免不同网格精度区域的边界处流场信息不连续现象,在两个晶格层边界重叠处引入缓冲区,设置缓冲区长度为2,同时设置设置过渡晶格层的细化过渡长度为6。建筑表面网格划分示意图如图2所示。
图2建筑表面网格划分示意图
综合考虑计算成本和精度,采用三种不同网格精度模型进行网格敏感性分析,即最小网格精度分别设置为b/32,b/16和b/64,最终划分的网格数为57万,29.8万和141万。
2.2求解参数设置
本文所有cfd算例均基于2020xlinux版本,采用小型工作站cpu并行计算,每个计算工况的并行核数取16核。xflow计算求解参数如表1所示,计算内核设置为3d模式,采用单相流模型,计算域流场设置为外流域,其余engine设置保持为默认;采用wale湍流模型进行xflow大涡模拟计算,cw取0.325,,湍流生成办法设置为custom。
通过预先模拟生成初始时刻的湍流结构,确定自定义初始湍流尺度为0.8m(10*dx),谐波数量设置为10000。一般谐波数量越多,求解的湍流越精细,但谐波数量过多会增加计算成本。由于一般建筑工程中风速较小,通常假定为不可压缩流体,故开启incomprehensiblemodel选项,其他设置保持默认。
表1xflow计算求解参数设置
lbm大涡模拟计算结果受多种参数影响,进行实际建筑结构关注的流场特性计算分析时需要慎重选择相关计算参数。本文总结了表2中9个算例结果,目的在于分析不同网格精度、初始湍流尺度、湍流模型以及壁面函数等常见参数对建筑风环境模拟结果影响。如算例1~3仅考虑不同的网格精度,保持湍流初始化生产、湍流模型以及壁面函数不变;设置算例1、4、5对比不同湍流模型;xflow的壁面函数包含resolved、enhancedwallfunction、非平衡enhancedwallfunction和free-slip边界条件,本文参考计算风工程已有研究成果,一般建筑表面不采用free-slip边界,仅设置算例1、6、7进行对比;算例1、8、9仅调整了不同的初始湍流尺度,如算例7的initialturbulencescale考虑为0.8m(10倍的计算域网格尺度)。
表2考虑参数敏感性分析的设置算例汇总
2.3边界条件设置
建筑物所处的大气边界层内的风速具有脉动特性,一般建筑风工程中要求cfd非稳态分析时需要在远处来流边界上生成符合大气边界层脉动风速特征的风场。根据建筑结构荷载规范(gb50009-2012),不同地面粗糙度类型对应不同的平均风速剖面和湍流强度特征公式。入口剖面平均风速uz和湍流度iz采用指数规律公式:
式中u10为10米高度参考风速,α为不同地面粗糙度类型对应的指数系数,i10为10米高度湍流强度。表3列出了中国规范中风剖面相关参数。
表3中国规范指定的风剖面参数
在实际应用中,xflow软件同时支持公式定义和数据插值两种方式,指定入口边界物理量随高度的变化规律。本文为了与风洞试验风环境测试结果对比,采用同风洞试验一样的入口边界条件,即通过数据插值方式将图3规律数据读写入xflow入口边界。计算域采用虚拟风洞模式,初始化条件选择默认,建筑数值风洞边界条件设置如表4所示。
图3风洞试验入口风速和湍流动能边界条件
表4基于xflow的建筑数值风洞边界条件设置
2.4测点布置
建筑周围测点平面布置图及测点编号顺序如图4所示。0.125b和1.25b高度处分别布置60个测点,建筑中间立面位置布置66个测点。风洞试验对每个测点的风速时程进行了详细记录,并给出了每个测点位置的平均风速和湍流动能强度。本文基于该风洞试验结果,对xflow大涡模拟结果的建筑风环境平均风速和湍流动能进行详细对比验证分析。
(a)0.125b和1.25b高度截面
(b)中间截面位置的测点布置
图4单体建筑周围测点布置示意图
3.风环境模拟结果对比验证
3.1网格敏感性分析
采用了三个不同网格精度的cfd模型进行网格无关性验证。三个算例的全局计算域网格基本尺寸dx均为0.08m,网格划分策略相同,三个算例的建筑表面最小网格精度分别为b/16(0.01m),b/32(0.005m)以及b/64(0.0025m)。不同网格精度的建筑立面迎风向平均风速如图5所示。建筑迎风前端风剖面基本保持同风洞试验类似的指数变化规律,风剖面满足自保持特性。
从图5可以看出,所有算例工况都再现出了建筑屋顶回流特征,模拟的分离点位置均发生在建筑顶部迎风前端位置。对比三个网格算例的建筑尾流平均风场,可以发现尾流区域随着网格精度增大而变小,其中b/32和b/64网格精度的模拟结果比较接近。
图5建筑中间立面顺风向平均风速模拟结果
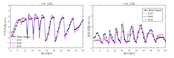
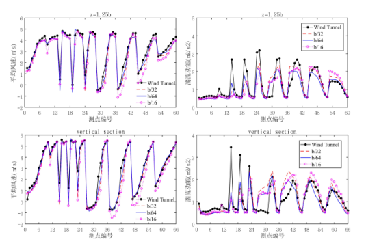
高度0.125b位置水平截面的顺风向平均风速如图6所示。该风向角情况下,建筑底部周围两侧出现明显的风速加速效应,建筑尾部出现明显回流区。随着网格精度增大,两侧加速区域和建筑尾部回流区均逐渐减小并趋于稳定。
图6建筑周围0.125b高度顺风向平均风速模拟结果
不同测点位置的迎风向平均风速和湍流动能模拟结果如图7所示。从图中可以看出,xflow不同网格精度算例均能模拟出与风洞试验测点风速和湍流动能类似的变化规律。
图7基于不同网格精度的测点计算结果与风洞试验对比
总结网格敏感性分析结果:1)b/32网格精度能够模拟出测点风速收敛结果,接下来所有其他算例均基于该网格精度;2)本文的计算参数设置可以模拟出与风洞试验类似的计算结果,但存在建筑表面湍流动能偏小和平均风速偏小的现象,需要进一步研究大涡模拟设置参数对计算结果的影响。
3.2湍流模型敏感性分析
基于不同湍流模型的测点计算结果与风洞试验对比如图8所示。从图中可以看出,湍流模型参数的选取对建筑测点风速和湍动能模拟结果影响不大,推荐采用官方默认的wale模型进行建筑表面风环境分析。
图8基于不同湍流模型的测点计算结果与风洞试验对比
3.3壁面函数敏感性分析
基于不同壁面函数模型的测点计算结果与风洞试验对比如图9所示。从图中可以看出,壁面函数模型的选取对建筑表面附近测点风速和湍动能模拟结果影响不大,推荐采用non-equilibriumenhanced模型进行建筑表面风环境分析。
图9基于不同壁面函数模型的测点计算结果与风洞试验对比
3.4初始湍流尺度敏感性分析
已有文献研究表明,非稳态数值风洞中大气边界层风场的脉动特征明显影响建筑风场的准确性。xflow软件采用谐波合成法生成初始脉动风场,具体通过指定初始湍流尺度和谐波数量。本文仅考虑xflow已有的脉动风生成方法对模拟结果的影响,不考虑其他脉动生成方法。参考建筑数值风洞计算域的最大网格尺寸(0.08m),设置初始湍流尺度分别为10倍最大网格尺寸、1倍最大网格尺寸和20倍最大网格尺寸。为了精细化模拟湍流信息,谐波数量取10000。基于不同初始湍流尺度参数的初始时刻风速云图如图10所示。从图10可以看出,初始湍流尺度越小,初始时刻的风速随机性越强,风速的空间变化幅度大。
图10基于不同初始湍流尺度参数的初始时刻风速云图
图11给出了基于不同初始湍流尺度参数的测点计算结果与风洞试验对比结果。从图中可以看出,最小初始湍流尺度的算例模拟出最小的湍流动能,平均风速明显偏小。算例1和算例9的模拟结果与风洞试验对比较好。
图11基于不同初始湍流尺度参数的测点计算结果与风洞试验对比
为了进一步分析不同湍流初始化参数对建筑风场模拟结果影响,图12给出了不同算例的建筑立面平均风速云图。从图中可以看出,湍流初始化对建筑风场结构影响较大,尤其是在建筑前端迎风区域和尾流区域。
算例1-10*dx
图12基于不同初始湍流尺度参数的建筑立面平均风速云图
4.结论
本文基于新一代xflow软件,开展了建筑数值风洞仿真技术研究,结合标准单体建筑风洞试验风环境测试结果开展了xflow数值标定研究工作,详细介绍了xflow使用过程中需要注意的计算参数设置,并对比分析了不同敏感性参数对模拟结果的影响。通过本文数值标定工作研究,初步可以得出如下结论:
1)xflow大涡模拟算法能够较好再现建筑周围三维风环境分布特性,其高效的并行计算效率和高保真度的计算求解器能够满足建筑工程风气候评估和辅助设计需求。
2)基于xflow的建筑风场模拟结果受网格精度影响明显,建议在实际工程应用中至少进行三种不同网格精度的结果敏感性分析。由于xflow灵活的网格划分技术,推荐在建筑数值风洞中采用不同精细度的网格嵌套策略,仅针对关心区域进行网格加密处理。
3)湍流模型和壁面函数模型对本文单体建筑风环境模拟结果影响不大,推荐xflow默认的wale湍流模型和非平衡enhancedwallfunction模型。
4)初始湍流生成参数对建筑数值风洞模拟结果影响明显,建议在实际工程应用中至少进行三种不同初始湍流生成参数的结果敏感性分析。由于xflow官方文档并未针对已有湍流生成方法原理进行详细介绍,建议参考传统有限体积法的的湍流生成方法研究xflow湍流生成。
本文基于xflow的建筑数值风洞研究成果,拓展了xflow软件在建筑数值风洞中的应用,可以为建筑行业风工程仿真分析提供技术参考。
资料来源:达索官方
2025-12-05
[行业资讯] simulia简介-abaqus代理经销商思茂信息
2025-12-05
[行业资讯] 如何合理选购abaqus软件并获取报价?达索代理商思茂信息
2025-12-05
[行业资讯] 思茂信息亮相2025省博士创新站活动 共探产学研新路径
2025-12-02
[cst] cst软件探索eft虚拟测试:从iec标准到3d仿真实战
2025-12-01
[abaqus] abaqus中理想弹塑性模型和弹塑性硬化模型区别
2025-11-28
2025-11-28
2025-11-28
[abaqus] 上课啦!达索系统 simulia abaqus pcb仿真
2025-11-26
[cst] 无参优化器:利用cst和tosca进行拓扑优化之单极天线(
2025-11-26
2023-08-29
2023-08-24
[abaqus] abaqus如何建模?abaqus有限元分析教程
2023-07-07
[abaqus] 有限元分析软件abaqus单位在哪设置?【操作教程】
2023-09-05
[abaqus] abaqus软件中interaction功能模块中的绑定接
2023-07-19
[abaqus] abaqus怎么撤回上一步操作?abauqs教程
2024-05-01
[abaqus] abaqus里面s11、s12和u1、u2是什么意思?s和
2023-08-30
[abaqus] abaqus单位对应关系及参数介绍-abaqus软件
2023-11-20
[abaqus] abaqus软件教程|场变量输出历史变量输出
2023-07-18
[abaqus] abaqus中的s、u、v、e、cf分别是什么意思?
2024-05-11
[行业资讯] simulia简介-abaqus代理经销商思茂信息
2025-12-05
2025-12-05
[行业资讯] 如何合理选购abaqus软件并获取报价?达索代理商思茂信息
2025-12-05
[行业资讯] 思茂信息亮相2025省博士创新站活动 共探产学研新路径
2025-12-02
[行业资讯] 正版abaqus全国代理商:思茂信息——达索授权认证
2025-11-25
[行业资讯] 怎么联系cst studio suite代理商?达索sim
2025-11-25
2025-11-24
[行业资讯] 广东有限元分析软件abaqus采购指南-认准达索授权思茂信
2025-11-21
[行业资讯] 达索abaqus、cst代理商采购流程-指定授权代理商思茂
2025-11-21
[行业资讯] 广东2025半导体及零部件学会发展论坛落幕,广州思茂信息获
2025-11-20
地址: 广州市天河区天河北路663号广东省机械研究所8栋9层 电话:020-38921052 传真:020-38921345 邮箱:thinks@think-s.com
凯发k8官方网娱乐官方 copyright © 2010-2023 广州思茂信息科技有限公司 all rights reserved. 粤icp备11003060号-2