1. 简介
混凝土经过长期发展,已经成为一种广泛运用在日常生产生活当中的建筑材料。在日常生活中,混凝土结构除了会受到轻度荷载外,还会受到极端荷载作用,如爆炸,地震等,因此研究高应变率下混凝土类材料的力学性能有着十分重要的现实意义。
分离式霍普金森压杆(shpb)实验技术自 1949 年由 kolsky 发明至今已成为测量材料动态力学性能的主要手段之一(冯明德等 2006),可以实现动态加载条件下更加精确的应变率控制以及更广的应变率测量范围,被广泛地运用于各种材料动态性能测试(wang 等 2008,xin 等 2009,huang 等 2016, ding 等 2017)。众所周知,混凝土为多相复合材料,在有限元(finite element,简称 fe)仿真过程当中其骨料投放为当前的科研难点之一。同时混凝土类材料受限于骨料尺寸的大小,为保证实验数据的有效性,试件尺寸必须足够大,这要求必须使用大直径的 shpb实验装置。在现有的霍普金森压杆实验研究中,需要复杂的实验前准备以及大量人工处理实验数据(李英雷等 2005, song 等 2009)。因此,混凝土类材料 shpb 实验亟待更为省时、高效且更为客观的波形预测及确定方法。bp 神经元网络系统具有良好的自学能力和概括能力,在预测、识别和线性拟合等方面具有优越的表现(李萍等 2008),其中多层神经元系统在理论上可以预测任何非线性的模型,适用于预测 shpb 实验中反射波和透射波,从而实现混凝土类材料的动态力学性能预测。
本文提出一种将 shpb 实验仿真模拟与 bp 神经网络技术相结合的新方法,分别以入射波、体积率、最大粒径、最小粒径为输入层,反射波以及透射波为输出层建立两组机器学习预测模型,从而预测混凝土类材料动态力学性能。该方法将能够代替人工量大且耗时有限元仿真、分析,处理等工作,建立的学习模型为人工智能预测混凝土类材料动态相应提供理论基础和经验借鉴。
2. shpb 数值模拟
2.1 shpb 实验介绍
shpb 实验技术以两个基本假定为基础(王礼立 2005)。一是弹性杆的一维应力波假定,即压杆在实验过程中始终处于弹性应变范围(压杆刚度远大于试件刚度的情况下此假定可满足);二是均匀性假定,即试件中的应力、应变沿试件轴向方向均匀分布(试件的长度远小于应力波波长的情况下此假定可满足)。满足这两个基本假定,才能得到有效的实验结果。
图 1. shpb 装置示意图
如图 1 所示,shpb 装置通常包括撞击杆、入射杆、透射杆、波形整形器和应变片。三波分别为入射波 、反射波 和透射波 。其中,入射波和反射波通过入射杆上的应变片测得,透射波通过透射杆上的应变片测得。为了方便后期的数据处理,可以将实验测得的结果经过移波处理,将三种波形的起始位置移动到同一时间轴。在数值处理中常用的方法有二波法和三波法,其中三波法更加适用于混凝土材料(宋力 和 胡时胜 2004)。本文选用三波法中公式(1)-(4)处理应变率、应力、应变之间的关系。
(4)
其中, 表示试件长度, 表示杆件波速, 表示杆件弹性模量, 表示杆件密度,表示杆件横截面面积, 表示试样横截面面积, 表示试样应变率, 代表示试样应变, 、 表示试样前后端面的应力, 表示试样的应力。
2.2 shpb 冲击压缩有限元计算
本文选取zhang等 (2009) shpb 实验参数建立有限元模型,以入射应力波代替撞击杆,降低入射波震荡,并考虑砂浆与混凝土材料中端面接触摩擦的影响(li等 2009),根据huang等 (2002)等文章,端面摩擦值取 0.2。模型如图 2 所示,入射杆应变片距离试样与入射杆接触面 1.5 m,透射杆应变片距离试样与透射杆接触面 0.5 m,各部件尺寸如表 1 所示。
图 2. shpb 有限元模型
表 1. shpb 实验装置和试件几何尺寸
混凝土类材料的非线性力学行为源于其中尺度结构的异质性,因此混凝土被认为是一种具有骨料夹杂物和砂浆基体的复合材料,骨料的掺入对混凝土的强度有很大影响。本文参考 jin 等(2019)的模拟数据,建立球形骨料的有限元模型,如图 3 所示。
图 3. 体积率为 8% 时球形骨料模型 (a)matlab 中的骨料模型;(b)abaqus 中的骨料模型
在用砂浆材料模拟 shpb 实验的有限元模型基础上,建立掺杂粒径在 1.18 mm-2.36 mm 即中粒径球形骨料的混凝土试件有限元模型。利用 matlab 软件,根据混凝土试件尺寸,在给定的空间内随机选择球形骨料的粒径与坐标,并规定骨料占据试件体积率。生成球形骨料的详细流程图如图 4 所示。为了保证各球形骨料相离及不超出给定的圆柱形空间,根据公式(5)-(8)确定骨料的坐标与半径。
图 4. 生成球形骨料流程图
本文在入射杆自由面添加入射应力波以代替撞击杆,其应力与试件关系式如式(9)所示(li 等 2009)。
采用入射波峰值分别为 60 mpa、80 mpa、100 mpa 和 160 mpa,应力加载时间为 500 微秒,模拟总时长为 1400 微秒。不同入射波峰值所引起的入射应力波形如图 5 所示。
图 5. 不同入射波峰值所引起的入射应力波形
本文砂浆材料选用基于线性屈服面子午线建立的 drucker-prager 本构(zhang 等 2009),骨料材料参数参考 jin 等 (2019)的有限元模型,具体的材料参数如表 2 所示。
表 2. 所采用的材料参数
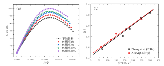
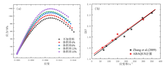
图 6. 数值模拟所得动态响应 (a)数值模拟应力-应变图;(b)本文有限元仿真与文献 zhang 等(2009)dif 比较
图 6 中,(a)为 160 mpa 峰值应力条件下,不同体积率骨料时的应力-应变图;(b)为本文计算 dif 与zhang等 (2009)论文实测 dif 的比较,其中 dif 为动态峰值应力与准静态峰值应力比值。结果表明,本文建立的 shpb 有限元分析结果可以较好地吻合实验结果。
3. 神经网络结构
bp 神经元网络系统是逆误差传播算法形成的多层前馈神经网络,目前已成为一种较为高效的人工智能预测方法(徐黎明等 2013),广泛应用于函数估计、模型识别和数据压缩。该神经网络主要包括输入层、隐藏层和输出层,其中单隐藏层的神经元系统学习效率不高,不适用于较大数据的非线性耦合数据的预测。本文采用多层隐藏层的神经元系统,并且训练过程中的权重和阈值会根据输入层和输出层之间传输的数据和误差不断调整,实现预测混凝土类材料的波形。本文机器学习流程如图 7 所示。
本文根据 matlab 骨料库中参数和 shpb 数值仿真参数批量建模,提取入射杆和透射杆上应变,随后进行移波处理,形成入射波、反射波和透射波。bp 神经网络算法将所有参数进行数据归一化以提高计算速度和避免信号之间不同数量级带来的计算误差。此外,还需对网络中的每一个权值和阈值参数进行初始化,以 16 组 abaqus 仿真结果作为训练样本,分别以入射波、体积率、最大粒径、最小粒径为输入层,反射波以及透射波为输出层建立两组机器学习预测模型。本文使用多层神经网络技术,可以实现输入层到输出层的非线性映射,从而实现反射波和透射波的波形非线性预测。其中神经网络的训练过程如图 8 所示。
图 7.机器学习流程图
图 7.机器学习流程图
图 8. bp 神经网络的训练过程
从图 8 中可以看出,在神经网络进行训练的过程中,需要先进行 bp 的初始化设置,然后输入训练样本并设输入层和隐藏层的节点数,形成一个清晰的网络结构。最后配置权值和阈值并计算误差,直到满足要求后,训练结束。
4 神经网络预测结果
本研究所建立的多层 bp 神经网络模型,分别以入射波、体积率、最大粒径、最小粒径为输入层,反射波以及透射波为输出层建立两组机器学习预测模型。训练样本为 abaqus 仿真模拟中提取的入射杆和透射杆应变,以峰值应力为 60 mpa、80 mpa、100 mpa、160 mpa,体积率为 4%、8%、12% 和 16% 进行 shpb 仿真实验,共计 16 组。将 2 作为一个时间节点,共计 252 个时间节点,记录相应的入射杆和透射杆上的应变值。每个时间节点上具有入射波应变值、最大粒径、最小粒径和体积率,共计 1004 个输入层节点,将得到的数据经过 bp 神经网络学习及预测,与仿真结果相比较。
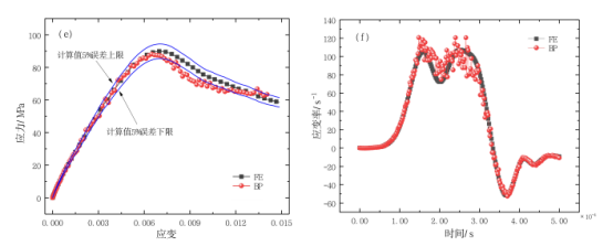
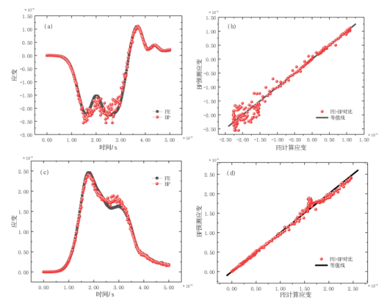
图 9. 体积率 12%、80 mpa 峰值应力下机器学习模型与数值仿真的结果对比;(a)反射波预测;(b)反射波预测误差;(c)透射波预测;(d) 透射波预测误差;(e)应力-应变曲线;(f)应变率曲线
为了检验本文的 bp 神经网络的预测结果,选用体积率为 12%,峰值应力强度为 80 mpa的入射波作为人工神经网络的测试样本,使用建立的预测模型预测反射波、透射波、应变率和应力-应变曲线,其中应变为直接预测结果,应力-应变曲线和应变率曲线为式(1)-(4)的计算结果。图 9 给出了根据体积率为 12%,峰值应力为 80 mpa 下机器学习与仿真模拟的主要结果。图 9(b)、(d)中反射波和透射波机器学习预测值和有限元计算值对应点均匀分布在 45° 等值线附近,表明预测结果良好。如图 9(a)-(d)所示,基于机器学习方法所提出的预测模型可以很好地复现 abaqus 有限元计算的反射波和透射波结果的主要趋势,且误差较小。图 9(e)对比了两种方法所对应的材料应力-应变曲线,在上升段和极值段的误差控制在 5% 以内。类似地,图 9(f)给出了应变率的对比图,在整个分析过程中,两种方法预测得到的应变率基本一致。因此可以认为,机器学习预测模型可以相对可靠地预测材料动态力学性能。
5. 结论
随着混凝土类材料应用场景的日益广泛,研究其在高应变率下材料动态本构显得尤其重要,本文通过有限元数值模拟与机器学习相结合的方法,得到以下研究成果:
(1)本文分析了细观骨料有限元模型在高应变率下骨料掺量对混凝土材料的影响。通过matlab 软件建立的骨料模型具有骨料空间占比、粒径、位置范围可控和算法简单等优点。通过向试样中掺加不同体积率骨料与不掺加骨料模型对比,表明掺入骨料能有效增强试样强度,且增强程度与掺入骨料体积率成正比;
(2)shpb 实验有限元仿真计算值与神经网络预测值的 pearson 相关系数在 0.98 以上,表明 bp 算法在预测具有不同骨料掺量混凝土的动态强度方面表现出良好的适用性,这意味着所提出的 bp 算法能够有效地反映入射应力和骨料掺量对混凝土材料应力-应变曲线的非线性映射关系。整个过程中各项参数设置合理,abaqus 计算值和文献 dif 值具有良好的吻合度,证明将 bp 人工神经网络应用于混凝土类材料应力-应变预测是可行的;
(3)本文建立混凝土 shpb 实验模型有限元仿真模型获取训练样本,使用 bp 人工神经网络进行学习与预测,得到高应变率下的混凝土类材料应力-应变曲线,与传统的实验相比减少了人工重复劳动,节省了时间、材料成本,同时可替代繁琐且耗时的有限元仿真建模、分析及后处理过程。
资料来源:达索官方
2025-12-05
[行业资讯] simulia简介-abaqus代理经销商思茂信息
2025-12-05
[行业资讯] 如何合理选购abaqus软件并获取报价?达索代理商思茂信息
2025-12-05
[行业资讯] 思茂信息亮相2025省博士创新站活动 共探产学研新路径
2025-12-02
[cst] cst软件探索eft虚拟测试:从iec标准到3d仿真实战
2025-12-01
[abaqus] abaqus中理想弹塑性模型和弹塑性硬化模型区别
2025-11-28
2025-11-28
2025-11-28
[abaqus] 上课啦!达索系统 simulia abaqus pcb仿真
2025-11-26
[cst] 无参优化器:利用cst和tosca进行拓扑优化之单极天线(
2025-11-26
2023-08-29
2023-08-24
[abaqus] abaqus如何建模?abaqus有限元分析教程
2023-07-07
[abaqus] 有限元分析软件abaqus单位在哪设置?【操作教程】
2023-09-05
[abaqus] abaqus软件中interaction功能模块中的绑定接
2023-07-19
[abaqus] abaqus怎么撤回上一步操作?abauqs教程
2024-05-01
[abaqus] abaqus里面s11、s12和u1、u2是什么意思?s和
2023-08-30
[abaqus] abaqus单位对应关系及参数介绍-abaqus软件
2023-11-20
[abaqus] abaqus软件教程|场变量输出历史变量输出
2023-07-18
[abaqus] abaqus中的s、u、v、e、cf分别是什么意思?
2024-05-11
[行业资讯] simulia简介-abaqus代理经销商思茂信息
2025-12-05
2025-12-05
[行业资讯] 如何合理选购abaqus软件并获取报价?达索代理商思茂信息
2025-12-05
[行业资讯] 思茂信息亮相2025省博士创新站活动 共探产学研新路径
2025-12-02
[行业资讯] 正版abaqus全国代理商:思茂信息——达索授权认证
2025-11-25
[行业资讯] 怎么联系cst studio suite代理商?达索sim
2025-11-25
2025-11-24
[行业资讯] 广东有限元分析软件abaqus采购指南-认准达索授权思茂信
2025-11-21
[行业资讯] 达索abaqus、cst代理商采购流程-指定授权代理商思茂
2025-11-21
[行业资讯] 广东2025半导体及零部件学会发展论坛落幕,广州思茂信息获
2025-11-20
地址: 广州市天河区天河北路663号广东省机械研究所8栋9层 电话:020-38921052 传真:020-38921345 邮箱:thinks@think-s.com
凯发k8官方网娱乐官方 copyright © 2010-2023 广州思茂信息科技有限公司 all rights reserved. 粤icp备11003060号-2