汽车燃油箱是车上唯一储存燃油的地方,是车上重要的功能与安全部件,它必须牢固、密封、耐冲击。跌落实验是检验燃油箱产品是否合格的重要手段,相应的国家规范以及各个汽车生产商都明确了跌落实验要求[1、2、3]。
因此,利用目前日益成熟的 cae 技术,在燃油箱设计阶段进行跌落模拟,预测出燃油箱可能破坏的区域和结构,为结构的优化及后续的工艺调试提供指导,从而最大程度地确保燃油箱通过跌落实验,就显的非常有必要和意义[1、2、 3]。
与一般的跌落模拟相比,燃油箱跌落模拟的特殊性在于,其内部密封液体和气体,其跌落过程中会有很复杂气、液、固三相耦合作用。因此,正确模拟出气、液、固三相耦合作用是整个模拟的关键所在。采用 cfd 与 fea结合的方法,固然能够很好地解决上述三相耦合,但其需要非常高昂的计算机资源,实际操作也非常复杂。
考虑到在跌落中我们只对燃油箱本体感兴趣,完全没有必要精确考虑内部的气体和液体运动形态,只需要考虑气体和液体对油箱内壁的压力即可。abaqus 软件的状态方程方法侧可以非常方便的实现上述设想,而 abaqus本身强大的非线性求解能力,同时也保证了跌落过程中各种复杂的接触问题,能够得到精确求解[6]。
状态方程原理
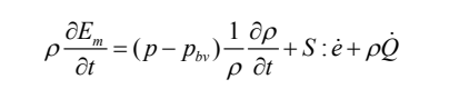
能量方程及 hugonio 曲线
对于封闭系统,其内能的增加等于应力所做功与增加热能的总和。在绝热条件下,能量方程可写成如下形式[4]:
其中:r 为密度,em 为单位质量内能, p 为压力(压缩为正), bv p 为由于体粘性产生的压力,s 为偏应力张量,e& 为偏应变率张量, q& 为单位质量比热率。公式(1)假设压力只与物质当前密度和内能有关,因此可以简写成如下形式:
上述公式中内能可以消去,这样就得到了 p 与 v 之间的对应关系( v 为物质当前体积),或者 p 与1 r 之间的对应关系。这些对应关系对于每一种用状态方程模拟的物质都是唯一,这种唯一的对应关系称为 hugonio 曲线,一种典型的 hugonio 曲线如图 1 所示:
图 1 hugonio 曲线示意图
figure 1 a schematic representation of a hugoniot curve
其中: h p 为 hugonio 压力只与密度有关,可以通过经验数据近似得到。
工程实例
为了验证上述模拟方法的正确性,本文使用上述方法对一种典型结构的燃油箱进行跌落模拟,并与实验结果进行对比。
分析模型
分别使用壳单元、实体单元、刚性单元建立燃油箱模型、气体模型、液体模型、刚性地面模型,并将它们根据实验实际情况进行装配,如图 2~6。
图 2 燃油箱模型
figure 2 model of fuel tank
图 3 气体模型
figure 3 model of gas
图 4 液体模型
figure 4 model of liquid
图 5 刚性地面模型
figure 5 model of rigid floor
图 6 装配模型
figure 6 model of assembly
结果分析
图 7、图 8 分别表示燃油箱反弹刚刚离开地面时的 mises 应力分布图、等效塑性应变分布图,图 9 则燃油箱跌落实验中实际破坏图。
图 7 mises 应力分布图
figure 7 von-mises stress contour plot
图 8 等效塑性应变分布图
figure 8 peeq contour plot
图 9 跌落实验实际破坏图
figure 9 result of dropping test
从上述图中可以看出,燃油箱反弹刚刚离开地面时刻,燃油箱本体上的最大 mises 应力及最大等效塑性应变出现区域 与跌落实验中燃油箱实际破坏区域非常吻合。
结论
本文针对部分充满液体的密封燃油箱跌落模拟问题,抛弃了常规的 cfd fem 模拟方法,采用状态方程的方法近似模拟内部气体与液体。通过对工程中典型燃油箱进行模拟,并与实际跌落实验结果进行对比,证明了该方法的模拟精度是有保证的。而该方法对计算机资源需求低以及操作上的便宜,使该方法与常规的 cfd fem 模拟方法相对,更具有实用性和经济性。
资料来源:达索官方
2025-12-05
[行业资讯] simulia简介-abaqus代理经销商思茂信息
2025-12-05
[行业资讯] 如何合理选购abaqus软件并获取报价?达索代理商思茂信息
2025-12-05
[行业资讯] 思茂信息亮相2025省博士创新站活动 共探产学研新路径
2025-12-02
[cst] cst软件探索eft虚拟测试:从iec标准到3d仿真实战
2025-12-01
[abaqus] abaqus中理想弹塑性模型和弹塑性硬化模型区别
2025-11-28
2025-11-28
2025-11-28
[abaqus] 上课啦!达索系统 simulia abaqus pcb仿真
2025-11-26
[cst] 无参优化器:利用cst和tosca进行拓扑优化之单极天线(
2025-11-26
2023-08-29
2023-08-24
[abaqus] abaqus如何建模?abaqus有限元分析教程
2023-07-07
[abaqus] 有限元分析软件abaqus单位在哪设置?【操作教程】
2023-09-05
[abaqus] abaqus软件中interaction功能模块中的绑定接
2023-07-19
[abaqus] abaqus怎么撤回上一步操作?abauqs教程
2024-05-01
[abaqus] abaqus里面s11、s12和u1、u2是什么意思?s和
2023-08-30
[abaqus] abaqus单位对应关系及参数介绍-abaqus软件
2023-11-20
[abaqus] abaqus软件教程|场变量输出历史变量输出
2023-07-18
[abaqus] abaqus中的s、u、v、e、cf分别是什么意思?
2024-05-11
[行业资讯] simulia简介-abaqus代理经销商思茂信息
2025-12-05
2025-12-05
[行业资讯] 如何合理选购abaqus软件并获取报价?达索代理商思茂信息
2025-12-05
[行业资讯] 思茂信息亮相2025省博士创新站活动 共探产学研新路径
2025-12-02
[行业资讯] 正版abaqus全国代理商:思茂信息——达索授权认证
2025-11-25
[行业资讯] 怎么联系cst studio suite代理商?达索sim
2025-11-25
2025-11-24
[行业资讯] 广东有限元分析软件abaqus采购指南-认准达索授权思茂信
2025-11-21
[行业资讯] 达索abaqus、cst代理商采购流程-指定授权代理商思茂
2025-11-21
[行业资讯] 广东2025半导体及零部件学会发展论坛落幕,广州思茂信息获
2025-11-20
地址: 广州市天河区天河北路663号广东省机械研究所8栋9层 电话:020-38921052 传真:020-38921345 邮箱:thinks@think-s.com
凯发k8官方网娱乐官方 copyright © 2010-2023 广州思茂信息科技有限公司 all rights reserved. 粤icp备11003060号-2