目前,节能减排工作逐渐成为汽车行业的一项重要的要求。因此对于汽车轻量化要求变得越来越重要。采用一种特殊用钢代替车辆传统使用的铝材,不但可以减轻重量,还可以提高车辆的防撞性能就成为一项重要的研发工作。下面将针对 4 种汽车用高强钢进行模拟碰撞分析。
1 钢材实验数据的处理
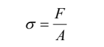
由于根据材料试验所得到的是工程应力和工程应变曲线和数据,根据文献[1],对于 abaqus 软件所需要使用的是真实应力,其定义如下,
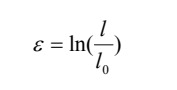
式中,f 是施加于材料上的力;a 是在试验的当时情况下,试样横截面面积。真实应变为,
式中,l0 是试件初始长度,l 是试件在试验当时的长度。根据 abaqus 中定义的塑性应变,可以计算出四种不同材料的杨氏模量,泊松比以及(真实)塑性应变和(真实)应力曲线。
1.1 材料 1 的力学性质:
根据实验数据,在 45°c 下,该钢材的弹性模量为 e=2.33´1 1pa,泊松比为 0.3,塑性极限为 571mpa,强度极限809mpa。
1.2 材料 2 的力学性质
根据实验数据,在 45°c 下,该钢材的弹性模量为 e=2.24e11pa,泊松比为 0.3,塑性极限为 805mpa,强度极限 1016mpa。
1.3 材料 3 的力学性质
根据实验数据,在 45°c 下,钢材的弹性模量为 e=2.60e11pa,泊松比为 0.3,塑性极限为 1106mpa,强度极限1279mpa。
1.4 材料 4 的力学性质
根据实验数据,在 45°c 下,钢材的弹性模量为 e=2.21e11pa,泊松比为 0.3,塑性极限为 1293mpa,强度极限1511mpa。
在处理完成试验数据后,开始建立材料的碰撞试验模型。
2 材料的碰撞试验模型
目前汽车所采用的高强钢主要用于制造汽车防撞件。如何能够更好地设计和使用不同型号和性能的钢材,对于一个工程师来讲,必须对于各种钢材碰撞性能要有所了解。根据文献[2], 可以采用台车对一个钢板进行碰撞试验,求出碰撞加速度曲线。
根据上述规则,下面将采用 15mm 厚的钢板,模拟试验在碰撞速度为 25km/h 下的钢板碰撞加速度。
由于在这里只是对四种不同钢材的碰撞性能进行大致比较,并且考虑到时间等因素的限制。因此,将碰撞模型简化为平面应变问题,采用 abaqus explicit 模块。cpe4r 单元,共划分 500 个单元,660 个节点。碰撞台车假设为刚体。四种不同材料的加速度曲线如下,
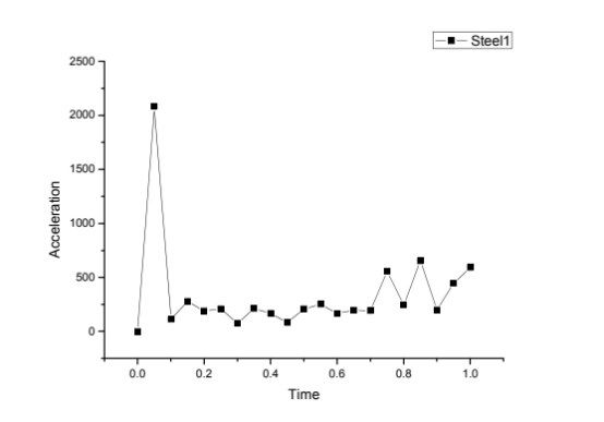
图 1 材料 1 在碰撞时的加速度曲线
图 2 材料 2 的碰撞加速度曲线
图 3 材料 3 的加速度碰撞曲线
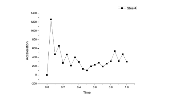
图 4 材料 4 的加速度碰撞曲线
根据图 1-4 可以看出,随着结构受到台车以初速 25km/h 的冲击作用,产生一个加速度的峰值。加速度值由高到低的次序为 2,1,3,4。材料在经过一个高峰后,对于材料 3,4 紧接着又有一个高峰。而对于材料 1,4 则是在经过较长的时间后才会又出现另一个高峰。如果采用不同的厚度时,可以发现其钢材的加速度曲线将与上述相应型号钢材的加速度曲线不同,因此吸能性能也有所不同。此外对于一个设计工程师来讲,不同材料的加工情况也是值得关注的,而利用 abaqus 软件也可以有效模拟加工过程。由于篇幅所限在这里就不再展开讨论,综上所述,运用有限元仿真实验的方法,可以为工程师在设计选择一些防撞构件时,提供很多有用的信息。
3 讨论
根据上述的有限元仿真计算可知,运用 abaqus 软件对不同材料,特别是使用真实试验后,可以有效地仿真碰撞情况。
根据以上对于不同钢材所做的模拟碰撞试验结果,可以看出,采用模拟试验方法在一定程度上可以代替真实的碰撞试验。特别是在概念设计阶段,可以在耗费较小的试验费用和试验时间的前提下,为设计工程师提供良好的相关材料信息。
资料来源:达索官方
2025-12-05
[行业资讯] simulia简介-abaqus代理经销商思茂信息
2025-12-05
[行业资讯] 如何合理选购abaqus软件并获取报价?达索代理商思茂信息
2025-12-05
[行业资讯] 思茂信息亮相2025省博士创新站活动 共探产学研新路径
2025-12-02
[cst] cst软件探索eft虚拟测试:从iec标准到3d仿真实战
2025-12-01
[abaqus] abaqus中理想弹塑性模型和弹塑性硬化模型区别
2025-11-28
2025-11-28
2025-11-28
[abaqus] 上课啦!达索系统 simulia abaqus pcb仿真
2025-11-26
[cst] 无参优化器:利用cst和tosca进行拓扑优化之单极天线(
2025-11-26
2023-08-29
2023-08-24
[abaqus] abaqus如何建模?abaqus有限元分析教程
2023-07-07
[abaqus] 有限元分析软件abaqus单位在哪设置?【操作教程】
2023-09-05
[abaqus] abaqus软件中interaction功能模块中的绑定接
2023-07-19
[abaqus] abaqus怎么撤回上一步操作?abauqs教程
2024-05-01
[abaqus] abaqus里面s11、s12和u1、u2是什么意思?s和
2023-08-30
[abaqus] abaqus单位对应关系及参数介绍-abaqus软件
2023-11-20
[abaqus] abaqus软件教程|场变量输出历史变量输出
2023-07-18
[abaqus] abaqus中的s、u、v、e、cf分别是什么意思?
2024-05-11
[行业资讯] simulia简介-abaqus代理经销商思茂信息
2025-12-05
2025-12-05
[行业资讯] 如何合理选购abaqus软件并获取报价?达索代理商思茂信息
2025-12-05
[行业资讯] 思茂信息亮相2025省博士创新站活动 共探产学研新路径
2025-12-02
[行业资讯] 正版abaqus全国代理商:思茂信息——达索授权认证
2025-11-25
[行业资讯] 怎么联系cst studio suite代理商?达索sim
2025-11-25
2025-11-24
[行业资讯] 广东有限元分析软件abaqus采购指南-认准达索授权思茂信
2025-11-21
[行业资讯] 达索abaqus、cst代理商采购流程-指定授权代理商思茂
2025-11-21
[行业资讯] 广东2025半导体及零部件学会发展论坛落幕,广州思茂信息获
2025-11-20
地址: 广州市天河区天河北路663号广东省机械研究所8栋9层 电话:020-38921052 传真:020-38921345 邮箱:thinks@think-s.com
凯发k8官方网娱乐官方 copyright © 2010-2023 广州思茂信息科技有限公司 all rights reserved. 粤icp备11003060号-2