我不时被问到如何建模一个不各向同性的弹性体材料。想象一个弹性体,通过(弹性体)纤维沿一个方向加强。这就产生了上述的压力-应变图。如果你认为"弹性体"(均匀/各向同性),你会考虑使用超弹性材料模型。所以,对于这种非各向异性弹性体的情况,你可能会考虑用一个各向异性超弹性体模型来建立材料模型。面临的挑战是,许多常用的各向异性超弹性材料模型都是用来建模生物组织的。对于生物材料,加强材料是胶原纤维。当组织向不同的方向拉伸时,这些胶原纤维与拉伸的方向一致,在应力-应变曲线中引起强烈的上升。这些生物组织的各向异性的主要方面是,在不同的方向上,压力应变的这种强上升是不同的。例如, 这个职位 在动脉组织上。或者这篇文章心肌组织。
非生物物质在压力上基本上没有很强的上升怎么样?
创建一些伪造的测试数据 *档案 unit_cube_3modes_2dirs_nhdegenks_1rve.inp 是用来准备假的测试数据的。"3模式"指的是单轴、双轴和平面变形。
较低的三个单位-立方体是简单的均质(无纤维)模型,新霍克c1=0.175;拉向z方向。
上面的单位-立方体增加了4个作为纤维的架元素的x-dir。;停在车上。此外,还为同一nh材料分配了具有0.2横断面的单元架单元
这样做的目的只是为了创建一些综合测试数据,这些数据具有上面第一张图片的"外观",也就是说,在预定的应变范围上,压力应变没有明显的上升。这个rve模型文件和合成测试数据包含在所附的zip文件中。得到的假测试数据是这样的:
卡尔斯克-施密特各向异性 .这一材料模型于2022年被添加到abquus解决程序中,在此之前它可以作为一个用户子例程使用。这个材料模型被添加到在r2024fd01的3d经验平台的校准应用程序中。
来自巴西基地组织的文件:
将k-s模型设置为非零值,即可将参数设为a1、a2和a3,使其退化为各向同性的yoo模型。k-s模型可以通过只设置a1到非零值,将其退化为各向同性的新胡克模型。
对于我们这里的例子,我们对某些类似于各向异性的新胡克模型的东西感兴趣。在一个方向上加强(n=1)。这意味着我们将把注意力限制在"a"和"c"参数上。
如果你打开的话。3dxml文件从所附的zip文件看起来是这样的:(记住,这是可能的,只有r2024xfd01和以后,来到公共云在2024年2月wp10日)。
放大:
这使用的是ff模式,只使用一个ababus输入文件,其中包含4个单元-立方体(在zip文件中)。每个单元的输出立方体与相应的合成测试数据相匹配。当我们开始时,我们只关注于单轴变形响应。在上面的图像中,卡利斯克-施密特的"a1"参数设置为0.175兆帕,所有其他参数设置为0.0,这是各向同性的新霍克设置。上面有两个实线响应(黑色和蓝色)。
如果我们设置"c2"参数=0.1并执行一个评估,我们会看到:
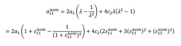
注意,小的c2值贡献了看起来像立方响应的东西。实际上,对于1方向(纤维方向)的名义应力,c2值对名义应力贡献了线性、二次和立方项。
上述公式的推导在pdf文件中显示(点击下面的图片)。
可以用卡尔斯克-施密特各向异性超弹性模型来捕捉这个测试数据的形状吗?让我们加入c3和c4参数,并尝试校准。
校准时间约为88秒,得出的参数是:
想试试自己吗?参观模拟社区放置用于访问本例中使用的文件。
温馨提示:
此文档为达索官方英文文档翻译,尽管我们已经尽力确保准确性,但在翻译过程中可能会有一些错误或细微差别。如果想要了解官方原版,可联系客服进行索取。
2025-12-05
[行业资讯] simulia简介-abaqus代理经销商思茂信息
2025-12-05
[行业资讯] 如何合理选购abaqus软件并获取报价?达索代理商思茂信息
2025-12-05
[行业资讯] 思茂信息亮相2025省博士创新站活动 共探产学研新路径
2025-12-02
[cst] cst软件探索eft虚拟测试:从iec标准到3d仿真实战
2025-12-01
[abaqus] abaqus中理想弹塑性模型和弹塑性硬化模型区别
2025-11-28
2025-11-28
2025-11-28
[abaqus] 上课啦!达索系统 simulia abaqus pcb仿真
2025-11-26
[cst] 无参优化器:利用cst和tosca进行拓扑优化之单极天线(
2025-11-26
2023-08-29
2023-08-24
[abaqus] abaqus如何建模?abaqus有限元分析教程
2023-07-07
[abaqus] 有限元分析软件abaqus单位在哪设置?【操作教程】
2023-09-05
[abaqus] abaqus软件中interaction功能模块中的绑定接
2023-07-19
[abaqus] abaqus怎么撤回上一步操作?abauqs教程
2024-05-01
[abaqus] abaqus里面s11、s12和u1、u2是什么意思?s和
2023-08-30
[abaqus] abaqus单位对应关系及参数介绍-abaqus软件
2023-11-20
[abaqus] abaqus软件教程|场变量输出历史变量输出
2023-07-18
[abaqus] abaqus中的s、u、v、e、cf分别是什么意思?
2024-05-11
[行业资讯] simulia简介-abaqus代理经销商思茂信息
2025-12-05
2025-12-05
[行业资讯] 如何合理选购abaqus软件并获取报价?达索代理商思茂信息
2025-12-05
[行业资讯] 思茂信息亮相2025省博士创新站活动 共探产学研新路径
2025-12-02
[行业资讯] 正版abaqus全国代理商:思茂信息——达索授权认证
2025-11-25
[行业资讯] 怎么联系cst studio suite代理商?达索sim
2025-11-25
2025-11-24
[行业资讯] 广东有限元分析软件abaqus采购指南-认准达索授权思茂信
2025-11-21
[行业资讯] 达索abaqus、cst代理商采购流程-指定授权代理商思茂
2025-11-21
[行业资讯] 广东2025半导体及零部件学会发展论坛落幕,广州思茂信息获
2025-11-20
地址: 广州市天河区天河北路663号广东省机械研究所8栋9层 电话:020-38921052 传真:020-38921345 邮箱:thinks@think-s.com
凯发k8官方网娱乐官方 copyright © 2010-2023 广州思茂信息科技有限公司 all rights reserved. 粤icp备11003060号-2