裂纹单元表面内流体流动的本构响应定义
控制xfem基裂纹单元表面流体流动行为的公式和规律与粘性单元间隙内流体流动的公式和规律非常相似(定义粘性单元间隙内流体的本构响应)。相似之处延伸到牵引分离模型,损伤的起始标准,损伤演化规律,和流体的流动行为。流体本构响应包括裂纹元件表面内的切向流动和由于富集元件中的结块或结垢效应在裂纹元件表面上的法向流动。
切向流动
裂纹单元表面内的切向流动可以用牛顿或幂律模型来模拟。默认情况下,裂缝元素表面内没有孔隙流体的切向流动。为了允许切向流动,结合孔隙流体材料定义定义间隙流动特性。
在牛顿流体的情况下,体积流量密度矢量由以下表达式给出
qd kp =- ñ ,
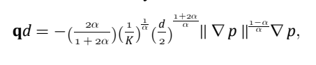
其中k是切向渗透率(对流体流动的阻力),vp是沿裂纹元件表面的压力梯度,d是裂纹元件表面的开oabaqus根据雷诺方程定义切向渗透率或流动阻力:
其中,u是流体,v,isc,0,a,d是op,a,c,a,k,a,a,c,s.请指定k值的极限。
在幂律流体的情况下,本构关系定义为
其中r是剪切应力,是剪切应变率,k是流体稠度,a是幂律系数。abaqus将切向体积流速密度定义为
其中d是裂纹单元表面的开口。
默认情况下,在牛顿流体和幂律流体中,裂纹元件表面之间的间隙具有0.002的初始开口。但是您可以直接指定此打开。
输入文件用法:
使用以下选项定义牛顿流体中的切向流
*间隙流动,类型=牛顿流体,kmax
使用以下选项定义幂律流体中的切向流:
间隙流动类型功率定律
使用以下选项直接定义初始间隙开口
*节段控制,初始间隙开口
abaqus软件/cae使用方法使用以下选项定义牛顿流体中的切向流
属性模块:材料编辑器:其他->孔隙流体->间隙流量:类型:牛顿:切换到最大渗透性并输入kmax值
使用以下选项定义幂律流体中的切向流
属性模块:材料编辑器:其他->孔隙流体->间隙流量:类型:幂律
abaqus软件/cae中不支持初始间隙开口。
温馨提示:
此文档为达索官方英文文档翻译,尽管我们已经尽力确保准确性,但在翻译过程中可能会有一些错误或细微差别。如果想要了解官方原版,可联系客服进行索取。
2025-12-05
[行业资讯] simulia简介-abaqus代理经销商思茂信息
2025-12-05
[行业资讯] 如何合理选购abaqus软件并获取报价?达索代理商思茂信息
2025-12-05
[行业资讯] 思茂信息亮相2025省博士创新站活动 共探产学研新路径
2025-12-02
[cst] cst软件探索eft虚拟测试:从iec标准到3d仿真实战
2025-12-01
[abaqus] abaqus中理想弹塑性模型和弹塑性硬化模型区别
2025-11-28
2025-11-28
2025-11-28
[abaqus] 上课啦!达索系统 simulia abaqus pcb仿真
2025-11-26
[cst] 无参优化器:利用cst和tosca进行拓扑优化之单极天线(
2025-11-26
2023-08-29
2023-08-24
[abaqus] abaqus如何建模?abaqus有限元分析教程
2023-07-07
[abaqus] 有限元分析软件abaqus单位在哪设置?【操作教程】
2023-09-05
[abaqus] abaqus软件中interaction功能模块中的绑定接
2023-07-19
[abaqus] abaqus怎么撤回上一步操作?abauqs教程
2024-05-01
[abaqus] abaqus里面s11、s12和u1、u2是什么意思?s和
2023-08-30
[abaqus] abaqus单位对应关系及参数介绍-abaqus软件
2023-11-20
[abaqus] abaqus软件教程|场变量输出历史变量输出
2023-07-18
[abaqus] abaqus中的s、u、v、e、cf分别是什么意思?
2024-05-11
[行业资讯] simulia简介-abaqus代理经销商思茂信息
2025-12-05
2025-12-05
[行业资讯] 如何合理选购abaqus软件并获取报价?达索代理商思茂信息
2025-12-05
[行业资讯] 思茂信息亮相2025省博士创新站活动 共探产学研新路径
2025-12-02
[行业资讯] 正版abaqus全国代理商:思茂信息——达索授权认证
2025-11-25
[行业资讯] 怎么联系cst studio suite代理商?达索sim
2025-11-25
2025-11-24
[行业资讯] 广东有限元分析软件abaqus采购指南-认准达索授权思茂信
2025-11-21
[行业资讯] 达索abaqus、cst代理商采购流程-指定授权代理商思茂
2025-11-21
[行业资讯] 广东2025半导体及零部件学会发展论坛落幕,广州思茂信息获
2025-11-20
地址: 广州市天河区天河北路663号广东省机械研究所8栋9层 电话:020-38921052 传真:020-38921345 邮箱:thinks@think-s.com
凯发k8官方网娱乐官方 copyright © 2010-2023 广州思茂信息科技有限公司 all rights reserved. 粤icp备11003060号-2