天线系数(antenna factor)也称天线因子,是指天线附近接收的电场强度与天线端口生成的电压比值,简单讲就是天线接收电磁波,然后转化成电信号的能力;或者反过来,激励电信号之后,天线转化成电磁波的能力。由于电场单位是v/m,所以天线系数(简称af)的单位就是每米“/m”,如果用db表示的话,就是dbm^-1.
首先一个问题就是,天线系数和增益有什么区别呢?直接上公式吧,对于50欧姆的天线:
或者:
可见af是跟增益有关,而且每个频率不一样。等下我们会解释公式推导,并证明两个公式等效。
演示模型我们用天线库里面的一个喇叭天线,因为在x-方向有个同轴馈电端口。
方法1:平面波和transient co-simulation计算
打一个平面波给天线,场强设为1v/m便于计算,电场方向为phi=0的平面(x轴方向):
注意该方法需要在电路中获取端口的电压,但是由于是平面波,所以要勾选superimpose plane wave excitation,使平面波用于时域电路仿真,点击apply就行。
然后电路中加端口1:
新建transient任务,选transient co-simulation,tmax足够长就行:
激励选项中把端口阻抗定为50ohm:
运行transient任务,查看端口1的频域电压:
接下来使后处理,因为电场强度为1v/m, 所以这里1除以电压:
方法2:远场增益提取
如果不用平面波模拟接收信号,我们可以从天线远场的增益来计算af。因为要得到af在不同频率的值,所以需要多个频点的远场结果,需要多个远场监视器,计算相对方法1较慢:
根据一开始的公式,要想计算af,除了增益之外,还有频率属性,所以需要后处理,然后两个公式选一个用就可以了,两个公式都有频率信息,所以先把频率从x轴调去y轴:
如果用第一个公式:
先拿到增益:
然后直接写公式:
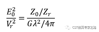
如果用另一个公式:
增益就需要线性了:
还需要波长, 所以多一步频率波长转换:
然后写公式:
可以看到两种方法,包括两个公式的结果基本都一样:
最后总结:
1)本文其实给了三个方法,可用于天线系数的计算和互相验证。
2)实际天线的af获取也是两种方法,一种是直接从供应商得到宽频的曲线,另一种方法就是测量,将天线放在已知场强中,然后扫频的到af,类似我们的方法1平面波。
3)天线系数在emc仿真中比较常见,因为它可以把场强e和电压v联系起来;这个值往往是天线生产厂提供,但是它把哪些路径、损耗或匹配考虑进去,就是工程师要注意的东西,也就是说,实际中要考虑是场强和哪里的电压比的问题。
4)下面进行公式推导:
从天线基本公式开始,就是功率密度等于接收功率除以天线增益和球面:
空间功率密度是电场平方除阻抗(120pi):
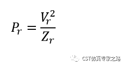
天线接收功率是电压平方除阻抗(50ohm):
带入得到场强和电压的平方比:
两边都取10log(),所以左边就是af的db形式:
另外用到:
所以开头的两个公式就都推导完了。
(内容、图片来源:cst仿真专家之路公众号,侵删)
凯发网站的版权与免责声明:
凡未注明作者、来源的内容均为转载稿,如出现凯发网站的版权问题,请及时联系凯发网站处理。我们对页面中展示内容的真实性、准确性和合法性均不承担任何法律责任。如内容信息对您产生影响,请及时联系凯发网站修改或删除。
2025-12-05
[行业资讯] simulia简介-abaqus代理经销商思茂信息
2025-12-05
[行业资讯] 如何合理选购abaqus软件并获取报价?达索代理商思茂信息
2025-12-05
[行业资讯] 思茂信息亮相2025省博士创新站活动 共探产学研新路径
2025-12-02
[cst] cst软件探索eft虚拟测试:从iec标准到3d仿真实战
2025-12-01
[abaqus] abaqus中理想弹塑性模型和弹塑性硬化模型区别
2025-11-28
2025-11-28
2025-11-28
[abaqus] 上课啦!达索系统 simulia abaqus pcb仿真
2025-11-26
[cst] 无参优化器:利用cst和tosca进行拓扑优化之单极天线(
2025-11-26
2023-08-29
2023-08-24
[abaqus] abaqus如何建模?abaqus有限元分析教程
2023-07-07
[abaqus] 有限元分析软件abaqus单位在哪设置?【操作教程】
2023-09-05
[abaqus] abaqus软件中interaction功能模块中的绑定接
2023-07-19
[abaqus] abaqus怎么撤回上一步操作?abauqs教程
2024-05-01
[abaqus] abaqus里面s11、s12和u1、u2是什么意思?s和
2023-08-30
[abaqus] abaqus单位对应关系及参数介绍-abaqus软件
2023-11-20
[abaqus] abaqus软件教程|场变量输出历史变量输出
2023-07-18
[abaqus] abaqus中的s、u、v、e、cf分别是什么意思?
2024-05-11
[行业资讯] simulia简介-abaqus代理经销商思茂信息
2025-12-05
2025-12-05
[行业资讯] 如何合理选购abaqus软件并获取报价?达索代理商思茂信息
2025-12-05
[行业资讯] 思茂信息亮相2025省博士创新站活动 共探产学研新路径
2025-12-02
[行业资讯] 正版abaqus全国代理商:思茂信息——达索授权认证
2025-11-25
[行业资讯] 怎么联系cst studio suite代理商?达索sim
2025-11-25
2025-11-24
[行业资讯] 广东有限元分析软件abaqus采购指南-认准达索授权思茂信
2025-11-21
[行业资讯] 达索abaqus、cst代理商采购流程-指定授权代理商思茂
2025-11-21
[行业资讯] 广东2025半导体及零部件学会发展论坛落幕,广州思茂信息获
2025-11-20
地址: 广州市天河区天河北路663号广东省机械研究所8栋9层 电话:020-38921052 传真:020-38921345 邮箱:thinks@think-s.com
凯发k8官方网娱乐官方 copyright © 2010-2023 广州思茂信息科技有限公司 all rights reserved. 粤icp备11003060号-2