天线保真度(fidelity)是指辐射信号和输入信号的相似程度,用最大归一化值表示[-1,1]。单独天线的保真度用端口激励信号和空间探针接收信号计算;双天线的保真度可用接收天线端口信号和发射天线的激励信号计算。所以在一定空间角度范围内,归一化后的fidelity值在0.9以上是比较好的天线。
举个例子,同样是宽带天线,viviald的保真度就比螺旋天线或者对数周期天线要好,因为前者的相位中心比较一致,对于时域天线高保真度也是一个重要的指标。
下面介绍一下如何进行保真度的计算。这里我们用cst宏自带喇叭天线为例。首先定义远场e-probe,然后进行正常的天线仿真。之后的保真度计算也是这个probe位置在某一个时刻最好地还原激励信号。
用后处理0dor 1d result from 1d result, 选择1d(c) 复数结果,然后cross-correlation/fidelity选项,归一化用xcorrnormalized,也就是cross-correlation互相关计算加归一化。两个对比时域信号选择激励信号i1,和探针信号。
然后运行后处理便得到互相关曲线,其中最大值便是保真度,图中为0.9968。最大值发生在0.518ns左右,意味着传播时间也为0.518ns。这里也推荐用同样后处理模板提取最大值,尤其是多个空间位置的参数扫描时。
另外,计算保真度时也常用信号的导数,也可以用后处理的derivative计算出信号的导数,然后用同样后处理算保真度。
这里结果显示,两个信号算互相关性和用这两个信号的导数算互相关性是一样的。
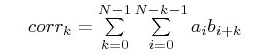
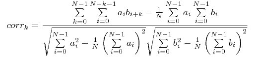
其实该后处理使用的就是vba语句(详见帮助文档)calculatecrosscor ( result1d a, result1d b, result1d corr, bool bnorm )前两个参数为波形输入,第三个参数为互相关数列输出(注意输出采样有变),最后选择是否用归一化。不归一化:
归一化:
(内容、图片来源:cst仿真专家之路公众号,侵删)
凯发网站的版权与免责声明:
凡未注明作者、来源的内容均为转载稿,如出现凯发网站的版权问题,请及时联系凯发网站处理。我们对页面中展示内容的真实性、准确性和合法性均不承担任何法律责任。如内容信息对您产生影响,请及时联系凯发网站修改或删除。
2025-12-05
[行业资讯] simulia简介-abaqus代理经销商思茂信息
2025-12-05
[行业资讯] 如何合理选购abaqus软件并获取报价?达索代理商思茂信息
2025-12-05
[行业资讯] 思茂信息亮相2025省博士创新站活动 共探产学研新路径
2025-12-02
[cst] cst软件探索eft虚拟测试:从iec标准到3d仿真实战
2025-12-01
[abaqus] abaqus中理想弹塑性模型和弹塑性硬化模型区别
2025-11-28
2025-11-28
2025-11-28
[abaqus] 上课啦!达索系统 simulia abaqus pcb仿真
2025-11-26
[cst] 无参优化器:利用cst和tosca进行拓扑优化之单极天线(
2025-11-26
2023-08-29
2023-08-24
[abaqus] abaqus如何建模?abaqus有限元分析教程
2023-07-07
[abaqus] 有限元分析软件abaqus单位在哪设置?【操作教程】
2023-09-05
[abaqus] abaqus软件中interaction功能模块中的绑定接
2023-07-19
[abaqus] abaqus怎么撤回上一步操作?abauqs教程
2024-05-01
[abaqus] abaqus里面s11、s12和u1、u2是什么意思?s和
2023-08-30
[abaqus] abaqus单位对应关系及参数介绍-abaqus软件
2023-11-20
[abaqus] abaqus软件教程|场变量输出历史变量输出
2023-07-18
[abaqus] abaqus中的s、u、v、e、cf分别是什么意思?
2024-05-11
[行业资讯] simulia简介-abaqus代理经销商思茂信息
2025-12-05
2025-12-05
[行业资讯] 如何合理选购abaqus软件并获取报价?达索代理商思茂信息
2025-12-05
[行业资讯] 思茂信息亮相2025省博士创新站活动 共探产学研新路径
2025-12-02
[行业资讯] 正版abaqus全国代理商:思茂信息——达索授权认证
2025-11-25
[行业资讯] 怎么联系cst studio suite代理商?达索sim
2025-11-25
2025-11-24
[行业资讯] 广东有限元分析软件abaqus采购指南-认准达索授权思茂信
2025-11-21
[行业资讯] 达索abaqus、cst代理商采购流程-指定授权代理商思茂
2025-11-21
[行业资讯] 广东2025半导体及零部件学会发展论坛落幕,广州思茂信息获
2025-11-20
地址: 广州市天河区天河北路663号广东省机械研究所8栋9层 电话:020-38921052 传真:020-38921345 邮箱:thinks@think-s.com
凯发k8官方网娱乐官方 copyright © 2010-2023 广州思茂信息科技有限公司 all rights reserved. 粤icp备11003060号-2