1.引言
手性指的是结构的几何特征,这意味着通过旋转或平移等操作,该结构无法与其镜像重合。具有手性的材料在自然界中广泛存在,如dna、氨基酸、糖分子等。(1)物质手性的研究提供了关于微观对称性的信息,我并为分子分析和识别提供了依据。作为光的两个自旋本征态,左旋圆偏振(lcp)光和右旋圆偏振(rcp)光在与手性材料相互作用时展现出不同的特性。(2)手性光学效应主要包括光学活性和圆二色性,它们源自手性材料对左旋光(lcp)和右旋光(rcp)光的反射率和折射率的实部和虚部。在手性光学效应的应用领域,如分析化学和制药行业,这些效应被用于确定分子的结构和浓度。风(3)手性光学器件广泛出现在偏振控制、显示和成像等领域。然而,天然手性材料的响应通常非常微弱,这在实际应用中带来了诸多限制。
与天然材料的弱手性相比,手性元材料的响应强度被提高了数个数量级。(4)彭德里在理论上使用金属环构造了手性元材料,从而实现了负折射率。(5)之后,人们逐渐发现了手性元材料的更多特性。根据结构的尺寸,元材料可以被分为三维(3d)和二维(2d)结构。相继提出了一系列具有圆二色性效应的三维手性元材料如金螺旋、双螺旋纳米线结构、锥形金螺旋以及3d结构等海星结构,等等。手性超表面是超材料的二维形式,由亚波长超原子组成。费多托夫等人。发现并实验验证了圆极化波在通过有损各向异性平面手性结构时的非对称透射率。杨等。采用阿基米德螺线结构的金薄膜进行圆偏振光探测。李等。报道了一种利用手性等离子体超材料实现的具有大工程手性的圆偏振光探测器。
在之前的出版物中,大多数关于手性超材料的报告都使用了金属结构,而对手性介电超表面的手性研究则相对较少。由于介电超材料具有较低的吸收损耗和高折射率,它们能够更有效地进行光学操控。吴等人通过一个手性介电超表面实现了高q数的法诺共振。胡等人提出并实验验证了全介电手性超表面的高效圆二色性波片。马等人..模拟平面手性元表面展现出巨大的圆二向色性。在此,我们使用全硅手性元表面来产生高效圆二向色性。通过太赫兹时域光谱系统测试样品的圆二向色性光谱,结果与模拟结果吻合良好。此外,通过可视化天津大学由手性对映体组成的字母,展示了可调节自旋依赖传输图像显示的潜在应用可能性,作为元表面的一个应用实例。
2.结果与讨论
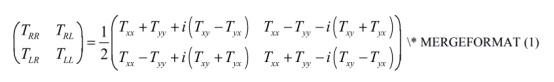
如图la所示,本文采用全硅手性元原子实现了对圆极化的非对称透射。高阻硅的介电常数ε=11.9。硅柱高度为160um,晶格常数为150um,保证了高衍射的产生。其他参数分别设置为w1=20um,li=30um,w2=60um硅因其折射率大,抑制场能力强,在太赫兹波段吸收损耗低而被选中。利用cst微波工作室模拟了手性亚原子的传输振幅和相移。利用时域求解器,在x方向和y方向施加周期性边界条件,在z方向施加开边界条件。以x偏振和y偏振平面波为入射波,分别模拟了x偏振方向和y偏散方向的透射场。圆极化基和线极化基之间的透射系数关系可表示为:
其中,第一个(第二个)子索引表示传输(入射)波的偏振状态,“”和“r”分别对应左旋圆极化波和右旋圆极化波。
在这里,我们将图la中的结构标记为对映体a。通过方程1将线性偏振的透射系数转换为圆极化基,从而获得该元原子的圆极化透射系数,如图1b所示。可以看出,在左旋偏振光入射时,总透射率远高于右旋偏振光入射时的透射率。这里,左旋偏振和右旋偏振入射时的总透射率分别表示为tl=it2 tr】2,tr=itrr2 tlri2。图1c显示了对映体a的镜状结构的圆极化透射系数,该结构被标记为对映体b。与图1b相比,对映体b的透射系数与对映体a的相反。透射圆二色性被定义为tcd=tl-tr。这两个对映体的圆二色性光谱如图1d所示。对映体a的圆二色性在1.2太赫兹处达到最大值,即0.33。值得一提的是,由于高阻硅的反射损耗,初始最大透射系数约为0.7,而偏振转换效率约为67%。对映体b具有与对映体a完全相反的圆二色性光谱。
图1。平面手性元原子及其模拟结果。(a)手性中间体的示意图和结构参数,w1=20um11=30um,w2=60um。(b)对映体a的圆极化透射系数(c)对映体的圆极化透射系数对映体b的透射系数。(d)对映体a和b的圆二色谱。
3.结论
总之,我们提出了一种全硅手性超表面,可以在太赫兹波段产生高效的圆二色性从而实现圆极化波的非对称透射。研究了被提议的超表面的静态圆二色性和动态手征行为,这些行为通过光学泵浦(1064nm)进行调节。得到了一个巨大的调幅度深度,实验结果与模拟结果吻合较好。通过调整硅的导电性来实现开关状态的切换。这种方法在诸如圆偏振光探测器和手性传感器等光子自旋选择性器件中具有广泛的应用前景。
资料来源:达索官方
2025-12-05
[行业资讯] simulia简介-abaqus代理经销商思茂信息
2025-12-05
[行业资讯] 如何合理选购abaqus软件并获取报价?达索代理商思茂信息
2025-12-05
[行业资讯] 思茂信息亮相2025省博士创新站活动 共探产学研新路径
2025-12-02
[cst] cst软件探索eft虚拟测试:从iec标准到3d仿真实战
2025-12-01
[abaqus] abaqus中理想弹塑性模型和弹塑性硬化模型区别
2025-11-28
2025-11-28
2025-11-28
[abaqus] 上课啦!达索系统 simulia abaqus pcb仿真
2025-11-26
[cst] 无参优化器:利用cst和tosca进行拓扑优化之单极天线(
2025-11-26
2023-08-29
2023-08-24
[abaqus] abaqus如何建模?abaqus有限元分析教程
2023-07-07
[abaqus] 有限元分析软件abaqus单位在哪设置?【操作教程】
2023-09-05
[abaqus] abaqus软件中interaction功能模块中的绑定接
2023-07-19
[abaqus] abaqus怎么撤回上一步操作?abauqs教程
2024-05-01
[abaqus] abaqus里面s11、s12和u1、u2是什么意思?s和
2023-08-30
[abaqus] abaqus单位对应关系及参数介绍-abaqus软件
2023-11-20
[abaqus] abaqus软件教程|场变量输出历史变量输出
2023-07-18
[abaqus] abaqus中的s、u、v、e、cf分别是什么意思?
2024-05-11
[行业资讯] simulia简介-abaqus代理经销商思茂信息
2025-12-05
2025-12-05
[行业资讯] 如何合理选购abaqus软件并获取报价?达索代理商思茂信息
2025-12-05
[行业资讯] 思茂信息亮相2025省博士创新站活动 共探产学研新路径
2025-12-02
[行业资讯] 正版abaqus全国代理商:思茂信息——达索授权认证
2025-11-25
[行业资讯] 怎么联系cst studio suite代理商?达索sim
2025-11-25
2025-11-24
[行业资讯] 广东有限元分析软件abaqus采购指南-认准达索授权思茂信
2025-11-21
[行业资讯] 达索abaqus、cst代理商采购流程-指定授权代理商思茂
2025-11-21
[行业资讯] 广东2025半导体及零部件学会发展论坛落幕,广州思茂信息获
2025-11-20
地址: 广州市天河区天河北路663号广东省机械研究所8栋9层 电话:020-38921052 传真:020-38921345 邮箱:thinks@think-s.com
凯发k8官方网娱乐官方 copyright © 2010-2023 广州思茂信息科技有限公司 all rights reserved. 粤icp备11003060号-2