1、引言
随着移动通信技术的进步,实际应用场景对天线的性能提出了更多的要求。龙伯透镜天线具有较大的带宽,可以实现更快的数据传输速度和更高的频谱效率、高增益和方向性等(o. manoochehri, 2019; b. wang, 2021),为复杂的应用场景提供了更好的支持,有广泛的应用前景。
20 世纪 40 年代,美国数学家 r. k. luneburg 基于几何光学法提出了龙伯透镜的结构。早期学者使用龙伯透镜天线结构主要是为了实现高增益的性能( e. jones, 1954),透镜的结构多为三维层状球壳( j. eaton, 1952; g. peeler, 1958)或二维平板结构( g. peeler, 1953)。进入 20 世纪 90 年代之后,随着材料、加工工艺的成熟,学者们开始使用全新的方式来设计实现龙伯透镜,出现了3d 打印龙伯透镜( k. gbele, 2014; m. liang, 2011; c. wang, 2020)、超表面龙伯透镜 c. pfeiffer,2010),以及使用 pcb 堆叠技术结合超表面思想实现的龙伯透镜( y. su, 2018)。
本文以实现高增益和低旁瓣水平为设计目标,在现有加工方式精度以及材料种类的限制下,综合考虑低成本、易加工、小型化的应用需求,设计了一款工作于 30−40 ghz 的圆柱体介质龙伯透镜。透镜直径为 36 mm,高 23 mm,由 ka 波段矩形波导馈电,采用3d打印技术制作。
2、圆柱体龙伯透镜的设计与仿真
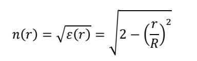
理论上龙伯透镜的折射率和相对介电常数的分布如公式1所示,为龙伯透镜球心到球体中某一点的距离,为龙伯透镜球体的半径,可以看到从球心到球面上折射率是连续变化的,在龙伯透镜球面上折射率为 1。
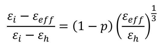
由于自然界中不存在相对介电常数连续变化的材料,且目前现有的介质材料并不能完全满足低介电常数和低损耗的要求,因此依据合成材料的思想,使用等效媒质原理中的 a-bg 规则,通过对一块完整的介质材料进行开孔操作来降低它的等效相对介电常数,以获得相对介电常数近似连续变化的龙伯透镜。
a-bg 规则如公式2所示,人工合成材料的等效介电常数 与所使用的整块基底材料的介电常数 ℎ 以及打孔的空气部分占整个材料的体积分数 有关,其中为空气的介电常数值 1。
当基底材料的相对介电常数与所要实现的人工合成材料的等效介电常数十分接近时,使用a-bg 规则计算得到的等效介电常数与实验结果更吻合( w. m. merrill, 1999)。在仿真软件 ansys hfss 2021 r2 中设置基板材料的介电常数为 2.9,那么由 a-bg 规则可以看到,通过改变打孔的空气占比就可以控制合成材料的等效相对介电常数。
将随着距离 r 连续变化的透镜折射率离散为十个点,并得到要实现这十个离散折射率对应的打孔体积分数 p,结果列在表1中。
表 1. 龙伯透镜不同归一化半径处的等效介电常数和介质占比对应表.
最终设计的龙伯透镜介质圆盘直径为 36 mm,将介质圆盘根据归一化半径均匀划分为十层,每层的厚度为 1.8 mm,每层中介质壁厚为 ,两层的介质壁之间存在着均匀分布的介质连接结构,宽为。龙伯透镜天线模型如图 1 所示,同时将天线结构的几何参数列于表 2 中。
图 1. 龙伯透镜天线结构尺寸 (a)主视图 (b)俯视图 (c)侧视图
表 2. 龙伯透镜天线参数表
由于设计的龙伯透镜工作于 ka 波段,仿真过程中使用国际标准型号为 wr-28 的矩形波导的尺寸结构。图 2 展示了在中心工作频点 35 ghz 处天线的性能,龙伯透镜天线 h 面远场辐射方向图主极化分量实现了 13.65 dbi 的最大增益,归一化最大旁瓣和第一旁瓣为−18.35 dbi,交叉极化分量在−30 db 以下。由于设计的圆柱体透镜天线在 e 面不具有等效的龙伯透镜折射率分布,因此该天线 e 面辐射方向图旁瓣性能比较差。
图 2. 龙伯透镜天线辐射方向图 (a) h 面 (b) e 面
龙伯透镜天线的如图 3 所示,在 30–40 ghz 的工作频带均满足 10-db 阻抗带宽,在32.5 ghz 附近匹配最好,约为–28 db。
图 3. 龙伯透镜参数曲线
3、加工实测结果
本次工作设计的透镜天线采用 3d 打印技术制作,选择的 3d 打印耗材为光敏聚合物树脂m3310,该光敏聚合物树脂材料相对介电常数为 2.9,介质损耗为 0.0378,馈电结构部分采用工作于 ka 波段(26.5−40 ghz)的矩形波导和 50 欧姆的同轴波导转换器馈电。
馈源与透镜天线侧面的距离对透镜性能的影响很大,为了固定馈电波导与龙伯透镜的距离,同时保证该距离与仿真一致,在实际测试中,利用了一种具有低介电常数和高透波性的聚甲基丙烯酰亚胺(pmi)泡沫材料将馈电矩形波导与龙伯透镜介质盘固定住,pmi 泡沫材料的介电常数为1.1,低的介电常数和高的透波性可以减小固定结构的存在对透镜辐射场的影响。天线实物如下图 4 所示。馈电结构的介质圆盘龙伯透镜的固定方式如图 5 所示。
图 4. 龙伯透镜天线实物图 (a) 俯视图 (b) 侧视图
图 5. 馈电波导与透镜的固定结构示意图 (a) 俯视图 (b) 主视图
4、误差分析
图 6 为实测 参数和仿真参数的对比,仿真时设置的馈电波导口面 与圆盘龙伯透镜的距离为 1 mm,但在实物测试时,考虑到尽管使用了泡沫材料对馈电结构和透镜部分进行固定,但是很难精准把控馈电结构和透镜之间的距离,因 此实测和仿真结果并不能完全吻合,但是大致趋势是一致的。可以看到实测的曲线在 30−40 ghz 的范围内都满足 10-db阻抗带宽。由于测试所用的网络 分析仪在高频段校准存在问题,曲线在高频段实测和仿真结果趋势有差异。
图 6. 实测和仿真反射系数对比
图 7 为龙勃透镜 h 面的主极化和交叉极化分量的实测和仿真结果对比;实测结果中,h 面主极化分量最大增益为 11.47 dbi,低于仿真结果的最大增益 13.65 dbi,考虑到实际波导有一定的损耗,以及 3d 打印材料的实际介质损耗和加工方 提供的介质损耗的参数值可能并不一致,因此实测和仿真的增益误差可以被接受。仿真结果中交叉极化可以达到−30 db 以下,但是在实际测试的结果中,交叉极化只能保持在−20 db 以下,同时相比于仿真结果,实测的第一旁瓣电平有比较明显的恶化。
图 7. 龙伯透镜 h 面实测和仿真方向图对比
图 8 为整个频段内(30–40 ghz)透镜天线的增益结果,realized gain 的幅度波 动范围从 10 dbi 到接近 12 dbi。实测结果显示,龙勃透镜天线实际增益的最大值出现在频点 35.6 ghz 处,为 11.71 dbi;在中心频点 35 ghz 处实测最大 realized gain 为 11.47 dbi。仿真得到的整个频带内 realized gain 幅度波动范围从 11.93 dbi 到 13.84 dbi。
图 8. 龙伯透镜工作频带内的实测增益曲线
5、小结
本次工作以提高毫米波信号增益为目标,综合考虑龙伯透镜天线性能和实际加工条件的限制,采用 3d 打印技术,根据等效媒质原理设计和实际加工了一款龙伯透镜天线。该天线在体积小、重量轻、加工成本低廉且设计复杂度不高的前提下,在毫米波段实现了相对可观的增益提升效果。
但是由于加工和测量的误差,以及材料实际损耗可能高于其性能手册上的标准值,因此实测结果显示,该天线模型在整个频带内的 realized gain 的幅度波动范围相比于仿真结果下降了 2 db 左右,实测曲线与仿真结果大致符合。
2025-12-05
[行业资讯] simulia简介-abaqus代理经销商思茂信息
2025-12-05
[行业资讯] 如何合理选购abaqus软件并获取报价?达索代理商思茂信息
2025-12-05
[行业资讯] 思茂信息亮相2025省博士创新站活动 共探产学研新路径
2025-12-02
[cst] cst软件探索eft虚拟测试:从iec标准到3d仿真实战
2025-12-01
[abaqus] abaqus中理想弹塑性模型和弹塑性硬化模型区别
2025-11-28
2025-11-28
2025-11-28
[abaqus] 上课啦!达索系统 simulia abaqus pcb仿真
2025-11-26
[cst] 无参优化器:利用cst和tosca进行拓扑优化之单极天线(
2025-11-26
2023-08-29
2023-08-24
[abaqus] abaqus如何建模?abaqus有限元分析教程
2023-07-07
[abaqus] 有限元分析软件abaqus单位在哪设置?【操作教程】
2023-09-05
[abaqus] abaqus软件中interaction功能模块中的绑定接
2023-07-19
[abaqus] abaqus怎么撤回上一步操作?abauqs教程
2024-05-01
[abaqus] abaqus里面s11、s12和u1、u2是什么意思?s和
2023-08-30
[abaqus] abaqus单位对应关系及参数介绍-abaqus软件
2023-11-20
[abaqus] abaqus软件教程|场变量输出历史变量输出
2023-07-18
[abaqus] abaqus中的s、u、v、e、cf分别是什么意思?
2024-05-11
[行业资讯] simulia简介-abaqus代理经销商思茂信息
2025-12-05
2025-12-05
[行业资讯] 如何合理选购abaqus软件并获取报价?达索代理商思茂信息
2025-12-05
[行业资讯] 思茂信息亮相2025省博士创新站活动 共探产学研新路径
2025-12-02
[行业资讯] 正版abaqus全国代理商:思茂信息——达索授权认证
2025-11-25
[行业资讯] 怎么联系cst studio suite代理商?达索sim
2025-11-25
2025-11-24
[行业资讯] 广东有限元分析软件abaqus采购指南-认准达索授权思茂信
2025-11-21
[行业资讯] 达索abaqus、cst代理商采购流程-指定授权代理商思茂
2025-11-21
[行业资讯] 广东2025半导体及零部件学会发展论坛落幕,广州思茂信息获
2025-11-20
地址: 广州市天河区天河北路663号广东省机械研究所8栋9层 电话:020-38921052 传真:020-38921345 邮箱:thinks@think-s.com
凯发k8官方网娱乐官方 copyright © 2010-2023 广州思茂信息科技有限公司 all rights reserved. 粤icp备11003060号-2