摘要:本文提出了一种带宽增强的高增益全金属腔背滤波缝隙天线阵列。通过将一个辐射缝隙替换为2x2辐射缝隙,在不增大天线尺寸的情况下获得了增强的增益。此外,通过结合两种腔模式,即te101和te301,来获取增强的带宽。金属脊和金属柱被用于使这两种模式彼此靠近。由于在适当的扰动下以及2x2辐射缝隙的正确放置下,这两种特定腔模式具有相似的辐射场,从而在增强的带宽内获得了更高的增益。
此外,这两个腔模的高品质因数在实现的增益和效率方面天生就具备良好的滤波性能。最终的测量结果显示,所提出的缝隙天线阵列在小口径尺寸为0.84h2的情况下,能够实现6.2%的带宽、97%的总效率、10.4~11 dbi的稳定实现增益。模拟结果与实测数据之间的良好吻合,充分验证了所提出的设计概念。
1.引言
腔背缝隙天线(cbsas)(g.q.luo,2008;l.ge,2017;r.bayderkhani,2015;x.wu2017;j.-y.lin,2018;y.m.wu,2018)因其高效和高增益的出色性能而被广泛应用于各种现代无线系统中。其中,全金属腔背缝隙天线(x.wu,2017;j.-y.lin,2018;y.-m.wu,2018,由于不存在介电损耗,能够进一步提升增益和效率,同时具备良好的大功率承载能力,适用于长距离和高功率通信场景。
单谐振天线通常存在带宽狭窄的问题,这限制了它们在宽带无线系统中的应用。多结构是-种有效的提高带宽的方法,已被广泛用于设计带宽增强的siw缝隙天线(g.q.lu0,2012;s.mukherjee,2014;s.yun,2012;w.han,2015;y.shi,2017;p.k.li,2018)和金属腔体缝隙天线(y.-m.wu,2019;r.-s.chen,2020;r.-s.chen,2021)。在(g.q.luo,2012;s.mukherjee,2014)中,通过引入一个缝隙,扰动te110和te210 siw模式,从而产生两种辐射混合型模式,以拓宽工作带宽。在(y.shi,2017)中,通过引入“via短接”技术,将低阶模式向高阶模式转移,从而实现了两个多共振宽带siw缝隙天线。在我们的先前研究中(y.m.wu,2019;r.-s.chen,2020;r.-s.chen,2021),利用腔模和共振虹彩模,报道了双共振和三重共振的全金属缝隙天线。这些模式可以被重新配置。通过调整腔体的尺寸和槽的尺寸,而不引入其他扰动元素。
滤波天线有效地将天线和滤波器集成到一个模块中,从而实现了整体尺寸的微型化。一般而言,滤波天线指的是天线增益的高选择性。辐射零点是一种广泛使用的手段,用于实现天线的滤波性能(p.k.李,2018;x.-y.张,2015;x.-y.张,2017;p.-f.胡,2019)。此外,通过引入多阶滤波器(f.-c.陈,2017;r.h.马哈茂德,2017)也可以获得滤波性能,其中多个腔体谐振器被级联以产生带通滤波性能。事实上,通过使用高q因子谐振器,可以设计出更简单的滤波天线(y.-m.wu,2019;r.-s.chen,2020;r.-s.chen,2021),因为高q因子代表着高选择性,可用于设计具有滤波性能的天线。
本文提出了一种高增益滤波缝隙天线阵列,通过利用两种矩形波导腔式来增强带宽。由于空腔模式(如te101模式)的纯定向电场分布,顶壁上的多个辐射可以直接馈电形成天线阵列。因此,在te101模式下的2x2缝隙阵列的操作,以获得106dbi的高方向性,小的物理孔径尺寸为0.75u2。然后,设计了在te101和te301模式下带宽增强的槽形天线阵列。通过适当调整金属脊和金属柱的参数,使两种式更加接近,从而拓宽带宽。在本文的设计中,利用商业电磁仿真软件cs tstudio suite 2020进行了数值模拟。最后,通过测试天线原型来验证设计概念。
2.高增益槽阵列
图1(a)展示了te101腔模工作下的2x2缝隙天线阵列配置。为了比较,这里还展示了具有1x1和1x2辐射缝隙的天线,其顶视图如图1(b)所示。
图2显示了三种天线的模拟定向。这三种天线的方向性分别为6.8dbi,9.2dbi,10.6 dbi。可以看出,在3.5ghz时,2x2槽天线阵列的方向性比1x1天线高3.8db。由于使用2x2辐射槽有效地利用了辐射孔径,而孔径尺寸保持不变,从而提高了方向性。该天线的物理孔径大小仅为0.75u2。
图1(a)提出的宽带槽天线配置,具有2x2辐射槽单元;(b)三种类型辐射槽的视图。
图2 不同辐射槽数量的模拟方向性。
3.双模宽带操作
3.1 配置
图1中 proposed slot antenna 具备高达10.6 dbi的高增益,但由于te101模式的单模运行以及te101模式的高未加载q因子,其带宽较为狭窄(不到1%)。为了提升带宽,本文提出了一种双模缝隙天线,其配置如图3所示。通过使用四个金属脊和两根金属柱,来控制腔模的共振频率。这些元件被放置在特定的位置上,以优化性能。
(a) (b)
(c) (d)
图3.提出的宽带缝隙天线配置,包含2x2辐射缝隙单元。(a)3d视图;(b)yz平面和xz平面的侧视图;(c)辐射缝隙视图;(d)馈入缝隙视图。
如前所述,te101和te301模式被特意用于设计这种双模式天线。由于它们之间的频率差异较大,应引入扰动方法以使它们彼此靠近。一种方法是通过将te301模式的频率降低来将其转换为te101模式,另一种方法是通过将te101模式的频率升高来将其转换为te301模式。
在引入扰动元件之前,我们先来看看这两种模式的场强度分布,如图4(a)所示在点a处,te301具有最强的场强度,而te101则具有适中的场强度。因此,在此点处施加一系列电感负载可以使te301更接近te101,因为这种负载对te301的影更大。在点b处,te301具有零场强度,而te101具有适中的场强度。因此在此点处施加并联电感负载可以使te101更接近te301,因为这种负载能够提升te101模式的频率而不影响te301模式。为此,如图4所示,分别在点a和点b处放置四条带有短路端头的金属脊和两根带有两个短路端头的金属柱,而实物视图则显示在图3中。
这两种扰动方法下的腔模等效电路模型分别如图4(b)和图4(c)所示。ls和cs表示te101/te301模式的lc电路模型,lsi和csi特别指代te101模式的lc电路模型,lr表示串联电感负载在te101/te301模式上,而lp表示并联电感负载在te101模式。
图4(a)扰动元素的位置;由(b)金属脊和(c)金属柱扰动的腔模等效电路模型。
图5 金属脊和金属柱对te101和te301模式谐振频率的影响:(a)金属脊;(b)金属柱。
在金属脊和金属柱的影响下,模拟的|sul在图5中显示。随着l4从0增加到13毫米这两个模式逐渐接近,因为te301具有更大的频率偏移。然而,当l4进一步增加时这两个模式的频率偏移变得相似,它们无法被进一步拉近。图5(b)表明,金属柱可以用来将te101模式向更高频率偏移,而对te301模式的影响较小,且金属柱的半径越大,产生的频率偏移越大。在l4=13毫米和r=3毫米的情况下,这两种模式足够接近,从而实现了增强的运作带宽。
图6和图7分别展示了te101和te301在没有金属脊和金属柱干扰情况下的电场分布情况。图6表明,在提出的天线中,te101和te301同时被激发。经过适当的扰动后,它们的共振频率接近,且电场分布也相似,如图7所示。图8显示了提出的天线的模拟|s11值和方向性。在3.7 ghz至4.3 ghz的频率范围内,方向性被测得高于10分贝。 因此,这种双模式缝隙天线仍能在工作频段内保持较高的增益。
图6 无金属脊和金属柱扰动的作101模式和te301模式的电场分布:(a)te101模式;(b)te301模式。
图7 金属脊和金属柱扰动下te101和te301模式的电场分布:(a)te101模式;(b)te301模式。
图8 模拟的|s11|和所提出的槽天线在双工操作下的方向性。
4.实验结果
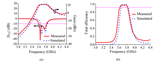
在完成设计后,图3中所示的拟议天线被制作并进行了测试。图9提供了已制作天线的照片以及待测天线的照片。金属螺丝被用作金属支柱,以对te101模式进行扰动。测量值|s11|、实现的增益以及总效率(包括阻抗失配的辐射效率)在图10中与相应的模拟结果进行了比较。可以看到,实测的带宽中|su<10 db的范围约为6.2%(从359 ghz到3.83 ghz),而模拟带宽则覆盖了从3.64到3.84 ghz的范围,其模拟带宽为5.3%。随着金属螺丝上的螺纹减少金属螺丝的有效半径,如图5(b)所示,te101的谐振频率也会降低,如图10(a)所示。实测的带内增益在10.4分贝至11分贝之间变化,而模拟增益在10.5分贝至11.2分贝之间变化,两者都显示出稳定的实现增益。实测的总效率高于91%,峰值达到97%,而模拟的总效率高于96%,峰值达到99%。
图10表明,所提出的缝隙天线阵列在实现的增益和总效率方面具备良好的滤波性能这归因于其两个腔模(即先前讨论的te101和te301)的高q因子。
图9(a)拟议天线的照片;(b)正在测试的天线。
图10 测量和模拟结果:(a)|s1l和实现增益;(b)总效率。
图11展示了在3.64和3.83 ghz处的辐射模式。在xz平面和yz平面上的实测共极化(co-pol)与模拟结果很好地吻合。由于所提出的天线是基于沿y轴分布的电场分布的两个模式设计的,因此可以实现较低的交叉极化(x-pol)。实测的x-pol优于-40分贝,略高于模拟值-50分贝。
与其他槽天线的比较见表1。可以看出,所提出的天线在 2的物理孔径尺寸下具有最高的增益。该天线(y.-m.wu,2019)具有更宽的带宽和滤波性能,但由于其单一辐射槽,增益较低。尽管之前的研究(r.-s.chen,2020)具有更宽的带宽,但它没有过滤响应。天线阵列(f.-c.chen,2017;r.h.mahmud,2017)可以实现更高的增益和滤波性能,然而,由于使用了多层腔,它们的天线结构复杂。
图11:测量和模拟的辐射模式:(a)xz平面上的3.64ghz;(b)yz平面上的3.64ghz;(c)xz平面上的3.83ghz;(d)yz平面上的3.83ghz。
表1 与其他槽天线的比较
5.结论
本文提出了一种增益高、带宽增强的腔背滤波缝隙天线阵列。顶部壁面上的多个辐射缝隙可以由腔模式的电场直接馈电,从而可以形成缝隙阵列,有效利用辐射孔径以获得高方向性。随后,首次提出了一种在te101模式作用下工作的2x2缝隙天线阵列,以分析增强的增益。此外,还设计了一种在te101和te301模式作用下工作的双模式天线,以拓宽工作带宽。对所制造的天线的最终测量显示其带宽为6.2%,稳定的实现增益为10.4~11dbi,总效率高达97%,交叉极化损耗低至-40db。此外,所有实测和模拟的实现增益及总效率都显示出良好的滤波性能。
6.致谢
这项工作部分得到了广东省自然科学基金的支持,项目编号为2021a1515110629和2021a1515110432,另一部分则来自广东省短程无线探测与通信重点实验室的开放资助金。
2025-12-05
[行业资讯] simulia简介-abaqus代理经销商思茂信息
2025-12-05
[行业资讯] 如何合理选购abaqus软件并获取报价?达索代理商思茂信息
2025-12-05
[行业资讯] 思茂信息亮相2025省博士创新站活动 共探产学研新路径
2025-12-02
[cst] cst软件探索eft虚拟测试:从iec标准到3d仿真实战
2025-12-01
[abaqus] abaqus中理想弹塑性模型和弹塑性硬化模型区别
2025-11-28
2025-11-28
2025-11-28
[abaqus] 上课啦!达索系统 simulia abaqus pcb仿真
2025-11-26
[cst] 无参优化器:利用cst和tosca进行拓扑优化之单极天线(
2025-11-26
2023-08-29
2023-08-24
[abaqus] abaqus如何建模?abaqus有限元分析教程
2023-07-07
[abaqus] 有限元分析软件abaqus单位在哪设置?【操作教程】
2023-09-05
[abaqus] abaqus软件中interaction功能模块中的绑定接
2023-07-19
[abaqus] abaqus怎么撤回上一步操作?abauqs教程
2024-05-01
[abaqus] abaqus里面s11、s12和u1、u2是什么意思?s和
2023-08-30
[abaqus] abaqus单位对应关系及参数介绍-abaqus软件
2023-11-20
[abaqus] abaqus软件教程|场变量输出历史变量输出
2023-07-18
[abaqus] abaqus中的s、u、v、e、cf分别是什么意思?
2024-05-11
[行业资讯] simulia简介-abaqus代理经销商思茂信息
2025-12-05
2025-12-05
[行业资讯] 如何合理选购abaqus软件并获取报价?达索代理商思茂信息
2025-12-05
[行业资讯] 思茂信息亮相2025省博士创新站活动 共探产学研新路径
2025-12-02
[行业资讯] 正版abaqus全国代理商:思茂信息——达索授权认证
2025-11-25
[行业资讯] 怎么联系cst studio suite代理商?达索sim
2025-11-25
2025-11-24
[行业资讯] 广东有限元分析软件abaqus采购指南-认准达索授权思茂信
2025-11-21
[行业资讯] 达索abaqus、cst代理商采购流程-指定授权代理商思茂
2025-11-21
[行业资讯] 广东2025半导体及零部件学会发展论坛落幕,广州思茂信息获
2025-11-20
地址: 广州市天河区天河北路663号广东省机械研究所8栋9层 电话:020-38921052 传真:020-38921345 邮箱:thinks@think-s.com
凯发k8官方网娱乐官方 copyright © 2010-2023 广州思茂信息科技有限公司 all rights reserved. 粤icp备11003060号-2