0引言
碳化钨涂层由于具有良好的抗磨损性能、耐腐蚀性能、耐高温性能、环保性及其与基体优异的结合强度、高效的工艺制备性等,已经被广泛地应用于轴承等滚/滑动体的运动机构中。一般来讲,接触应力和变形是滚动体分析的重要基础,滚动体接触疲劳设计的重要环节,以及接触疲劳寿命预测模型中重要的控制参数。如果涂层参数选择不当,会出现涂层与基体的分层等失效模式,使涂层很快失效。
由于经典的hertz弹性接触理论不能直接应用于带涂层的接触应力计算中,因此有的研究人员采用有限元软件对涂层进行接触应力计算[2]。本文借助abaqus软件,得到了不同接触载荷、摩擦系数等参数分别在静、动两种有限元模型的不同应力分布规律,以便指导该类涂层的设计与分析。
1hertz弹性接触理论881年,hertz求得接触应力及变形的解析解。其基于以下假设
(1)接触物体只产生弹性变形,并服从胡克定律;
(2)负荷垂直于接触表面,也就是说,接触表面完全光滑,不计及接触物体之间的摩擦力;
(3)接触面的尺寸与接触物体表面的曲率半径相比是很小的。
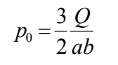
根据hertz弹性接触理论两接触体接触时,最大接触应力为:
其中p0为最大接触应力,q为接触总载荷,a、b分别为接触面的短、长半轴。
2 有限元建模
网格划分:根据弹性力学的平面应变理论,平板与圆柱的接触问题实质上是一个圆面与一个四边形面的平面应变接触问题,如图 1。圆面网格划分原则:接触部分网格细,非接触区网格粗,网格粗细区过渡要好。四边形面的网格划分原则:镀层网格细,基体网格粗,接触区网格细,非接触区网格粗,由接触区到非接触区,网格由细到粗均匀过渡,镀层厚度网格划分做成参数化设计,以便于变参,镀层和基体的材料属性分别赋予,镀层和基体采用结点固连。
静、动态两种模型:分别建立静态,动态两种接触有限元模型。静态模型的特点为滚动体(圆面)没有滚动,只施加接触载荷,动态模型的特点为滚动体(圆面)有滚动,在接触载荷作用下的滚动。两种模型都可以输入摩擦系数。
载荷的施加:载荷以集中力的形式施加在圆面的中心结点上。
图 1 接触应力计算有限元模型
3 结果及分析
计算结果:如图 2 为某接触载荷作用下接触应力的计算结果,从图可以看出最大接触应力发生在接触表面,离接触中心越远,接触应力越小。
本文分别得出了不同设计参数:摩擦系数、接触载荷对输出参数:最大接触应力、最大静态剪切应力、最大动态剪切应力、最大静态剪切应力深度、最大动态剪切应力深度的影响。
摩擦系数对接触应力的影响:
将摩擦系数从 0.01,以 0.01 的级差变化到 0.1、再以 0.1 的级差变化到 0.6。得到如图 3 的曲线。从图中可以得出:1)最大静态接触应力随摩擦系数的变化有减小趋势,但是不明显;2)最大动态接触应力在摩擦系数为0.03 附近有个跳变,在 0.03 至 0.6 逐渐增大,在 0.03 至 0.1 时增加缓慢。在 0.1 以后增加速度加剧;3)在 0.1以下静、动态接触应力基本相等,在 0.1 以上动态接触应力大于静态接触应力,但是大的幅度不大。
图 2 最大接触应力的计算结果
图 3 最大静、动态接触应力随摩擦系数的变化关系
摩擦系数对剪切应力的影响:
如图 4。可以得出:1)最大静态剪切应力随摩擦系数的增加而减小,但是减小的幅度不大;2)摩擦系数在0.01 至 0.1 时,最大动态剪切应力有增加趋势,而且在 0.03 时有突变,0.03 前基本不变。0.2 后基本保持不变。但是 0.2 附近时有突变;3)最大动态剪切应力小于最大静态剪切应力。
图 4 最大静、动态剪切应力随摩擦系数的变化关系
摩擦系数对最大剪切应力深度的影响:
图 5。可以得出:1)最大静态剪切应力除了 0.4 之外,基本相同,在 0.4 处有突变;2)最大动态剪切应力除了 0.2、0.3 外,位置基本相同;3)摩擦系数基本对剪切应力深度影响不大。
图 5 最大静、动态剪切应力随摩擦系数的变化关系
接触载荷对最大接触应力的影响:
由于静态接触应力,动态接触应力基本相当,因此本文只计算了动态接触应力,如图 6。可以得出:1)最大接触应力随着接触载荷的增加而增加;2)最大接触应力与载荷基本成承抛物线关系。这与接触应力与载荷的根号成正比是吻合的;3)带涂层机构的接触应力比纯基体的接触应力大了一个不大的恒值,但比纯涂层机构的接触应力小很多。
图 6 最大静态接触应力随接触载荷的变化关系
接触载荷对最大剪切应力的影响:如图 7,得出最大剪切应力随着接触载荷的增大而增大,也基本成抛物线关系。
图 7 最大剪切应力随接触载荷变化关系
接触载荷对最大剪切应力深度的影响:从图 8 可以得出,接触载荷对最大剪切应力深度影响不大。
图 8 最大静、动态剪切应力深度随接触载荷的变化关系
4 有涂层机构接触应力计算的结论分析
4.1 有涂层机构的接触应力与接触载荷的根号也成正比关系,并且比没有涂层的接触应力大一个很小的恒值,约占它的 20%;在没有涂层时,依据赫兹接触理论,接触应力与接触载荷的根号成正比。那么有了涂层后此关系是否成立呢,从计算结果来看,该结论仍然成立。带涂层计算的接触应力比纯基体高了一个很小的恒值。如果我们知道了这个值,就可以不通过有限元计算,而先用简单的赫兹接触理论,求得与基体的接触应力然后加上这个恒值就是真实的接触应力。
4.2 摩擦系数的变化对接触应力基本没有影响,只有接触载荷的变化才对接触应力有较大影响;依此控制接触应力,最有效的手段就是控制接触载荷。
4.3 摩擦系数对最大剪切应力的影响不是很大,接触载荷对最大剪切应力的影响较大。据此,控制剪切应力的最佳手段是控制接触载荷。
资料来源:达索官方
2025-12-05
[行业资讯] simulia简介-abaqus代理经销商思茂信息
2025-12-05
[行业资讯] 如何合理选购abaqus软件并获取报价?达索代理商思茂信息
2025-12-05
[行业资讯] 思茂信息亮相2025省博士创新站活动 共探产学研新路径
2025-12-02
[cst] cst软件探索eft虚拟测试:从iec标准到3d仿真实战
2025-12-01
[abaqus] abaqus中理想弹塑性模型和弹塑性硬化模型区别
2025-11-28
2025-11-28
2025-11-28
[abaqus] 上课啦!达索系统 simulia abaqus pcb仿真
2025-11-26
[cst] 无参优化器:利用cst和tosca进行拓扑优化之单极天线(
2025-11-26
2023-08-29
2023-08-24
[abaqus] abaqus如何建模?abaqus有限元分析教程
2023-07-07
[abaqus] 有限元分析软件abaqus单位在哪设置?【操作教程】
2023-09-05
[abaqus] abaqus软件中interaction功能模块中的绑定接
2023-07-19
[abaqus] abaqus怎么撤回上一步操作?abauqs教程
2024-05-01
[abaqus] abaqus里面s11、s12和u1、u2是什么意思?s和
2023-08-30
[abaqus] abaqus单位对应关系及参数介绍-abaqus软件
2023-11-20
[abaqus] abaqus软件教程|场变量输出历史变量输出
2023-07-18
[abaqus] abaqus中的s、u、v、e、cf分别是什么意思?
2024-05-11
[行业资讯] simulia简介-abaqus代理经销商思茂信息
2025-12-05
2025-12-05
[行业资讯] 如何合理选购abaqus软件并获取报价?达索代理商思茂信息
2025-12-05
[行业资讯] 思茂信息亮相2025省博士创新站活动 共探产学研新路径
2025-12-02
[行业资讯] 正版abaqus全国代理商:思茂信息——达索授权认证
2025-11-25
[行业资讯] 怎么联系cst studio suite代理商?达索sim
2025-11-25
2025-11-24
[行业资讯] 广东有限元分析软件abaqus采购指南-认准达索授权思茂信
2025-11-21
[行业资讯] 达索abaqus、cst代理商采购流程-指定授权代理商思茂
2025-11-21
[行业资讯] 广东2025半导体及零部件学会发展论坛落幕,广州思茂信息获
2025-11-20
地址: 广州市天河区天河北路663号广东省机械研究所8栋9层 电话:020-38921052 传真:020-38921345 邮箱:thinks@think-s.com
凯发k8官方网娱乐官方 copyright © 2010-2023 广州思茂信息科技有限公司 all rights reserved. 粤icp备11003060号-2