1 电池仓隐式参数化建模
分别选取车身行驶、宽度、高度方向为电池仓坐标系的 x、y、z 轴,如图 1,进行隐式
参数化建模。
电池仓包括箱体和内部模组两部分。将电池箱体分解为箱体主体、箱体上盖、吊装构件3 个子模块。根据各子模块的轴对称布局特点,在对称轴上布置基点,建立经过基点具有特征曲率的基线。依据零件几何特征和有限元模型截面形状,创建若干基础截面。由上述基础元素生成梁、接头、曲面,并合理应用对称复制,完成各子系统的参数化创建。由数学映射实现吊装构件与箱体主体的逻辑连接,完成电池箱体主要结构特征的参数化构建与连接后,通过数学映射和 passive 创建孔槽和加强筋等细节特征,如图 1 所示。
图 1 动力电池仓参数化模型
本文主要研究对象为电池仓体,而其性能计算涉及电池模组,因此电池模组和箱体需要进行耦合连接,通过在参数化模型和有限元模型中共用螺栓头部中心节点号可以实现,如图2 所示。
图 2 动力电池仓参数化模型组装
参数化模型共包含基点 89 个、基线 8 个、基础截面 53 个,梁 15 个、接头 2 个。再由此参数化模型直接生成有限元模型,并分别进行弯曲、扭转刚度和模态仿真分析,将仿真值与实验值对比,二者误差均在 9%以内,对比数据如表 1 所示。
表 1 参数化模型仿真与实验值对比
2 设计响应及分析工况
动力电池仓在行驶或吊装工况下如果存在局部结构强度不足,可能致使内部电芯破损,引发电池短路,导致热失控起火,车辆燃烧。因此,电池仓体结构需要具有足够的强度。强度分析工况采用固支边界条件,如图 3 所示。
图 3 强度分析工况边界条件及应力云图
由图 3 可见,约束各吊装构件。根据极限工况的载荷情况为电池仓整体在 y、z 方向上分别施加 3g、-6g 惯性载荷,同时加载螺栓预紧力并在各构件连接部位建立接触关系。最大应力出现在吊装构件与车身连接处。
为规避电池仓壳体发生较大变形,对内部元器件形成过度挤压导致电芯短路而过热燃烧,同时防止因电池仓刚度不足导致整车刚度匹配不协调,影响整车操纵性能。电池仓本体结构需要具有足够的扭转及弯曲刚度,电池仓的弯曲扭转刚度边界条件及位移云图分别如图 4 所示。
图 4 弯曲和扭转刚度分析边界条件及位移云图
由图 4 可见,弯曲刚度载荷沿 z 轴负向施加于电池仓中部,扭转刚度在前端吊装构件施加绕 x 轴方向的扭矩。
结构动态响应取决于其外部激励与自身固有动态特性,当电池所受外部激励频率与自身模态频率接近或相等时,发生不同程度谐振甚至共振,致使车辆驾乘舒适性、动力电池安全性及工作寿命下降,合理的结构设计可有效避开外部激励频率,避免共振。约束条件下电池仓的典型模态振型如图 5 所示。
图 5 一阶模态云图
电池在振动载荷反复作用下易发生低于材料屈服强度水平的疲劳破坏。在《电动汽车用锂离子动力蓄电池安全要求(征求意见稿)》8.2.1 中规定锂离子电池仓应进行随机振动试验,振动测试参数如图 6 所示。
图 6 振动测试参数图
随机振动疲劳分析约束条件与强度分析一致,基于模态叠加法,通过频率响应分析得到功率谱下的应力传递函数,应用 dirlik 经验公式计算出单位时间下的应力循环次数 333,基于曼纳(miner- palmgren)的疲劳损伤累计理论完成电池仓的疲劳耐久计算。
综上所述,电池仓的结构设计需要兼顾多个学科性能,综合考虑相关参数,以满足设计许用值。本文以电池仓较为典型的结构强度、弯曲及扭转刚度、随机载荷下振动疲劳损伤值、振动特性作为动力电池仓体轻量化设计的约束条件。
3 试验设计
本文以电池仓前后两组吊装构件在电池侧边全长范围的位置及关键部件壁厚为设计变量。设置优化前吊装构件位置的变量值为 0mm,后向移动为正,前向移动为负,如图 7 所示。
图 7 电池仓参数化模型及变量
试验设计中,取样规模取决于变量数目及其水平数,过大的规模会占用巨量的计算资源。对于每个设计变量,选取工程实际中具有可行性的变量水平,如表 2 所示。
表 2 设计变量说明
应用最优拉丁超立方设计可使 doe 试验样本均匀分布于设计空间,其具有良好的空间填充性和均衡性,如图 8 所示。基于 5 个设计变量及其取样水平数,共选取 100 个计算试验样本。
图 8 最优拉丁超立方设计
4 仿真流程搭建
用 isight 优化平台软件依次串行/并行循环调用 nastran、abaqus 及 ncode 分别进行电池仓的弯曲、扭转刚度、强度、动态特性、疲劳耐久计算,运行策略如图 9 所示。由 doe 组件驱动同一套参数变量给两个隐式参数化组件,根据求解器求解特点:一套输出给 abaqus执行模态与强度分线性计算;一套输出给 nastran 执行弯、扭刚度及稳态动力学计算。参数化组件本谱系内,模型网格可重复利用,不同的分析只需要定义头文件并进行*include 引用,这样减少了纠错的几率,同时也提升了计算效率。疲劳组件继承模态应力及传涵信息,通过模态叠加完成随机振动分析。
图 9 试验设计仿真环境
优化所需计算资源巨大,基于 python 针对可移植批处理系统(portable batch system)队列进行二次开发,在服务器上完成求解计算及结果的自动存取和传递。经优化平台汇总结果后,在本机上完成后续数值模型拟合及优化求解,运行流程如图 10 所示。
图 10 优化流程
5 轻量化设计及数据挖掘
5.1 近似模型的数值拟合
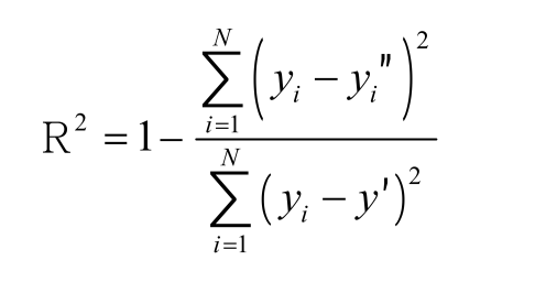
近似模型替代仿真模型求解,可提高优化效率。近似模型拟合精度关系着优化结果及其数据挖掘的准确性。径向基神经网络法(rbf)具有逼近复杂非线性函数能力佳和容错功能强等优点,对 doe 样本有着良好拟合精度。本文以此法进行近似模型拟合, 拟合精度的评价,通常采用复相关系数(r2):
式中: 为检验样本点数目; 为第 个响应的仿真值; 为第 个响应的近似模型预测值; 为仿真结果的平均值。r2值越逼近1,表示模型拟合精度越高, 工程中认为当r2 > 0.9时,精度满足要求。经计算得到关于电池仓质量、弯曲、扭转刚度、强度、随机载荷下振动疲劳损伤值、一阶模态频率的近似模型拟合精度决定系数r2分别为0. 988、0. 975、0. 965、0. 937、0. 959、0.983,其中疲劳损伤和一阶模态数值模型的拟合精度如图12所示。误差分析结果表明,各目标响应的数值拟合精度均满足优化计算要求。
图 11 拟合模型型误差分析
5.2 动力电池仓轻量化优化设计
电池仓轻量化设计优化数学模型如式(2)所示:
式中: 、 、 、 、 、 分别为电池仓的总质量、疲劳损伤值、一阶模态频率、弯曲刚度、扭转刚度和强度; 、 、 、 、为动力电池各项性能约束值,根据工程实践经验,其中疲劳损伤值取 0.0035、模态频率取 60hz、弯曲刚度取 350 n/mm、扭转刚度取 850 nm/deg、强度取 410 mpa; 、 、 分别为动力电池仓各项设计变量及其取值范围。pointer算法适用于解决各类线性、不连续、光滑、非光滑、全局性问题,本文采用此算法进行动力电池仓优化设计,优化流程如图13所示。
图 12 优化流程图
经过 361114 次迭代计算,完成电池仓结构寻优,目标函数优化历程曲线,如图 14 所
示。
图 13 优化目标历程图
5.3 优化结果
动力电池仓优化前后各设计变量及各项性能变化如表 3、表 4 所示。
表 3 电池仓优化前后设计变量对比
表 4 优化前后动力电池仓性能对比
由表 3 可见,轻量化后动力电池仓成功减重 1.61kg,占 2.6%;结构应力降低了 1.9%,扭转刚度降低了2.6%,模态降低了 0.3%,弯曲刚度增加 66.2%,疲劳损伤值增加 107.7%,模态频率下降0.3%,满足设计要求。
5.4 数据挖掘
由优化结果发现,在本文设计空间内,模态频率和疲劳损伤值 pareto 贡献率分别如图 15、图16 所示,各设计响应间的关系如图 17 所示。
图 14 设计变量对模态频率的 pareto 贡献率
结果表明,结构模态频率与后部吊装构件装配位置及箱体壁厚正相关且相关度接近,即减薄箱体壁厚对于电池模态频率的负面影响可通过调整电池后部吊装构件装配位置得到一定补偿。
图 15 设计变量对疲劳损伤值的 pareto 贡献率
动力电池的疲劳耐久性能与两组吊装构件壁厚与后向装配位置正相关且相关程度依次递减,既将吊装构件后移及增加吊装构件壁厚,可不同程度减小疲劳损伤值,提升该电池仓的疲劳耐久性能。
图 16 设计响应相关矩阵图
刚度、强度、一阶模态频率间具有较强的相关性,而疲劳损伤与上述性能间相关性较弱。
结论与展望
(1) 本文以某电动汽车动力电池仓为研究对象,应用sfe concept建立电池仓体结构的隐式参数化模型,依托isight优化平台,建立电池仓的刚度、强度、疲劳耐久、nvh性能的优化设计模型,匹配计算资源,在使电池仓满足各项性能目标要求的前提下,成功减重2.6%。
(2) 由优化结果发现,动力电池仓的模态频率与后部吊装构件装配位置及箱体壁厚正相关且
相关度接近;疲劳耐久性能仅与两组吊装构件壁厚及后向装配位置正相关且相关度依次递减;刚强度、一阶模态频率间具有较强的相关性,而疲劳损伤与上述性能间相关性较弱。
资料来源:达索官方
2025-12-05
[行业资讯] simulia简介-abaqus代理经销商思茂信息
2025-12-05
[行业资讯] 如何合理选购abaqus软件并获取报价?达索代理商思茂信息
2025-12-05
[行业资讯] 思茂信息亮相2025省博士创新站活动 共探产学研新路径
2025-12-02
[cst] cst软件探索eft虚拟测试:从iec标准到3d仿真实战
2025-12-01
[abaqus] abaqus中理想弹塑性模型和弹塑性硬化模型区别
2025-11-28
2025-11-28
2025-11-28
[abaqus] 上课啦!达索系统 simulia abaqus pcb仿真
2025-11-26
[cst] 无参优化器:利用cst和tosca进行拓扑优化之单极天线(
2025-11-26
2023-08-29
2023-08-24
[abaqus] abaqus如何建模?abaqus有限元分析教程
2023-07-07
[abaqus] 有限元分析软件abaqus单位在哪设置?【操作教程】
2023-09-05
[abaqus] abaqus软件中interaction功能模块中的绑定接
2023-07-19
[abaqus] abaqus怎么撤回上一步操作?abauqs教程
2024-05-01
[abaqus] abaqus里面s11、s12和u1、u2是什么意思?s和
2023-08-30
[abaqus] abaqus单位对应关系及参数介绍-abaqus软件
2023-11-20
[abaqus] abaqus软件教程|场变量输出历史变量输出
2023-07-18
[abaqus] abaqus中的s、u、v、e、cf分别是什么意思?
2024-05-11
[行业资讯] simulia简介-abaqus代理经销商思茂信息
2025-12-05
2025-12-05
[行业资讯] 如何合理选购abaqus软件并获取报价?达索代理商思茂信息
2025-12-05
[行业资讯] 思茂信息亮相2025省博士创新站活动 共探产学研新路径
2025-12-02
[行业资讯] 正版abaqus全国代理商:思茂信息——达索授权认证
2025-11-25
[行业资讯] 怎么联系cst studio suite代理商?达索sim
2025-11-25
2025-11-24
[行业资讯] 广东有限元分析软件abaqus采购指南-认准达索授权思茂信
2025-11-21
[行业资讯] 达索abaqus、cst代理商采购流程-指定授权代理商思茂
2025-11-21
[行业资讯] 广东2025半导体及零部件学会发展论坛落幕,广州思茂信息获
2025-11-20
地址: 广州市天河区天河北路663号广东省机械研究所8栋9层 电话:020-38921052 传真:020-38921345 邮箱:thinks@think-s.com
凯发k8官方网娱乐官方 copyright © 2010-2023 广州思茂信息科技有限公司 all rights reserved. 粤icp备11003060号-2