引言
碳纤维增强复合材料作为轻质、高强度、高刚度材料,广泛应用于航天器结构中,由复合材料面板和铝蜂窝制成的夹层结构成为航天器结构系统的重要组成部分,其中卫星天线反射面、光学镜面逐渐向大尺寸、高精度方向发展[1-3],但轨道空间环境极其复杂,热变形成为影响反射面精度的主要因素。
对于反射面精度的控制,通常有两种方式:主动式和被动式。主动式控制方法是通过一系列测量设备、控制设备和作动机构对反射面进行在轨调节;被动式控制方法通过采用热-力学性能更为合适的材料和结构,保证反射面结构温度变化时仍满足精度要求。
卫星天线的反射面结构通常采用夹层结构,以提高其弯曲刚度;而芯材也应选取热膨胀系数较低的材料或结构。因此使用复合材料做成圆管或六边形蜂窝芯材,将有利于降低夹芯热变形对反射面的影响。碳纤维复合材料的热膨胀系数低,通过铺层角度的设计,可以得到理想的层压板面内热膨胀系数。由于目前在研型号对天线反射面的热变形指标要求较严,而铝蜂窝法向热膨胀系数又太高,不能满足设计要求,因而选用热膨胀系数低的复合材料层压板作为天线夹层结构的芯材。复合材料的芯材可以采用圆管形或六边形蜂窝形状,但复合材料蜂窝制备工艺复杂,因而选用圆管形芯材。
在已知复合材料圆管芯材的热膨胀系数的基础上,必须要进一步掌握其力学性能,才能更好地在航天产品结构设计中应用。传统铝蜂窝的力学性能的研究虽有一些成果[4-6],但不能直接应用到圆管芯材,同时随着圆管芯材在航天中的需求越来越多,近年来对圆管芯材的研究逐渐增加[7-9],主要包括研究圆管芯材的法向压缩性能、面内剪切性能等,而作为夹层结构的芯材,更关注其横向剪切性能。
本文基于卫星型号研制需求,对圆管芯材的力学性能进行研究。碳纤维增强复合材料密排圆管芯材如图1所示,本文所研究的圆管芯材由直径为40mm、壁厚为0.3mm、高度为65mm的t300碳管两两相切胶接固化而成,其中以轴向为0°方向的碳管铺层为[±45°]s ,本文通过解析计算、数值模拟和试验校正对此碳管芯材的剪切模量进行研究。
图1 碳管芯材几何模型
fig. 1 geometrical model of cfrp cch
1 碳管芯材等效剪切模量解析解
碳管芯材的碳管壁薄且碳管直径大,为便于试验工装设计和试验载荷的确定,需建立碳管芯材横向剪切模量的快速解析方法和相应计算公式。
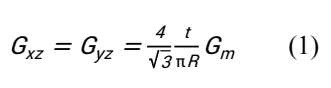
通过对图2密排圆管周期性结构的一个矩形截面胞元进行推导,得到密排圆管芯材横向剪切模量(gxz、gyz)的解析式(1)。
式中,gxz、gyz为圆管芯材横向剪切模量,gm为圆管材料面内剪切模量,t为圆管壁
厚,r为圆管半径。
图2 碳管芯材矩形截面胞元
fig. 2 rectangular cell of cfrp cch
基于层压板的刚度矩阵理论,根据表1的t300复合材料单向板的材料参数,计算得到[±45°]s铺层的层压板面内剪切模量g12为35.35gpa。随后把gm = g12、t = 0.3mm和r =20mm代入式(1),求得t300复合材料[±45°]s铺层的碳管芯材的横向剪切模量gxz = gyz=390mpa。
表1 t300复合材料单向板材料参数
tab.1 material parameters of t300 unidirectional laminate composite
2 碳管芯材等效剪切模量数值解
2.1 碳管芯材双剪有限元模型
采用通用有限元软件abaqus建立碳管芯材的双剪模型如图3所示,其由横向13列、纵向4排的上下2层各52个碳管构成。
因碳管相对较高,为避免单剪产生弯矩影响,采用双剪模式,即有限元模型中碳管芯材上下两面的节点固支,上层芯材下表面和下层芯材上表面的节点与参考点rp-1建立多点约束。在参考点rp-1上施加x正方向载荷,求解参考点rp-1的位移。
(a)固定约束
(b) 载荷边界
图3 碳管芯材双剪有限元模型
fig.3 double shear fe model of cfrp cch
把表1中的参数设置到有限元模型单层板弹性材料属性内,即可对图3中碳管芯材进行双剪静力模拟,得到参考点rp-1的载荷和位移见表2,表中载荷为上下两层碳管芯材所受到的剪力,位移为碳管芯材剪切变形导致的上下两层碳管芯材中间位置的受力方向位移,图4即为在受力70kn时的碳管芯材的受力方向位移分布。
表2 载荷和位移数值模拟解
tab.2 force and displacement from fe analysis
图4 受力70kn时的碳管芯材位移分布
fig.4 displacement distribution of cfrp cch under 70kn
2.2 碳管芯材等效剪切模量计算
基于胞元理论[10],单个碳管的等效面积a可通过其外切正六边形面积式(2)表示。同时,双剪模型中单侧芯材共有52个碳管,故单侧碳管芯材的等效面积acore为式(3)。
3 碳管芯材等效剪切模量试验
3.1 工装和试件
碳管芯材双剪工装模型如图5(a)所示,一个试件及工装包括2层碳管芯材、3个铝面板,以及4个用于夹持和测量工装的激光位移计,其测量精度可达微米。
碳管芯材试件双剪试验准备状态如图5(b)所示,4个激光位移计位置及编号见图中示意,激光位移计所测数值即为试件两侧面板相对于中间面板沿载荷方向的位移,也相当于每侧碳管芯材上下表面的剪切位移。
(a) 工装模型
(b)试验的安装
图5 工装模型及其试验安装
fig.5 tooling model and test installation
3.2 试验载荷工况
为获得可靠稳定的试验数据,本碳管双剪试验取3组试件,对每组试件分别进行多载荷量级试验,其中,对试件1进行载荷为10kn(预试验)、15kn、20kn、25kn、30kn、35kn、40kn、50kn、60kn、10kn(复试验)共计10个工况的试验;对试件2、3分别进行了载荷为5kn(预试验)、30kn、50kn、70kn、5kn(复试验)共计5个工况的试验。
由于试验数据较多,选取部分数据进行分析,试件1选取表3所示的30kn、40kn和50kn载荷的3个工况,试件2和3选取表4所示的30kn、50kn和70kn的3个工况。
表3 试件1的载荷工况
tab. 3 load condition of test specimen 1
表4 试件2、3的载荷工况
tab.4 load condition of test specimen 2 and 3
3.3 试验位移结果
试件1、2和3的各工况的位移测量结果如图6~8所示。每个工况的加载过程中,在每个台阶载荷处停留20秒保持载荷不变,使位移曲线处于水平台阶,便于数据测量和观察,图中1~4曲线为分别记录的4个激光位移计测量值。
图6 试件1的各工况测量位移
fig.6 measured displacement for the test specimen 1 under different load conditions
图7 试件2的各工况测量位移
fig.7 measured displacement for the test specimen 2 under different load conditions
图8 试件3的各工况测量位移
fig.8 measured displacement for the test specimen 3 under different load conditions
3.4 位移-载荷分析
把图6~8试验测得的各试件位移u,结合台阶载荷f,统计到表5~7中,表中位移u为4个位移计测量值的平均值。试件1在试验开始时施加了500n左右的初始载荷,数据采集时载荷未置零,试件2、3也施加了500n左右的初始载荷,但数据采集时载荷置零,故表5中第1行数据的载荷为500n左右,而表6和7中第1行数据的载荷为0。
表5 试件1各工况的位移-载荷数据
tab.5 force and displacement of test specimen 1 under different load conditions
表6 试件2各工况的位移-载荷数据
tab.6 force and displacement of test specimen 2 under different load conditions
表7 试件3各工况的位移-载荷数据
tab.7 force and displacement of test specimen 3 under different load conditions
3.5 横向剪切模量计算
把表5~7中各试件的不同工况的最大力-位移数据统计到表8,并代入式(7)计算碳管芯材的横向等效剪切模量。
表8 基于试验的等效横向剪切模量
tab.8 equivalent transverse shear modulus based on test
对比表8中所有横向剪切模量可知,试件2中的工况2、3的剪切模量偏低,不作统计,取其余7种工况的剪切模量平均值,即为339mpa。
4 结论
分别通过计算、仿真分析和试验得到碳管芯材剪切模量,并验证计算方法和试验的可靠性。
(1) 碳管芯材等效横向剪切模量的解析解为390mpa、数值解为410mpa和试验测试值为339mpa。由于在解析计算和数值模拟中均未考虑碳管芯材在受剪时可能存在的非线性几何变形、局部屈曲、相邻碳管之间的胶接工艺及胶接刚度等因素,因此试验结果刚度偏低。试验解比解析解低12.8%、比数值解低17.1%。
(2) 验证了解析值和数值模拟分析的可行性和误差范围,数值解比解析解高5.13%,基本在工程使用的误差接受范围内。
(3) 在将来的工程应用中,可对解析解和数值解进行修正,取修正系数0.8~0.9之间,以得到更为接近试件的剪切模量。对于其他尺寸碳管芯材的剪切刚度计算,可先求得其数值解,然后乘以本文得到的修正系数以获得修正后的碳管芯材剪切刚度,并用于结构设计和分析,从而可较大降低试验成本,缩短获得芯材力学性能的周期。
获得的碳管芯材力学特性,能够为星载天线结构设计提供重要力学参数,以保证结构设计的安全性。
资料来源:达索官方
2025-12-05
[行业资讯] simulia简介-abaqus代理经销商思茂信息
2025-12-05
[行业资讯] 如何合理选购abaqus软件并获取报价?达索代理商思茂信息
2025-12-05
[行业资讯] 思茂信息亮相2025省博士创新站活动 共探产学研新路径
2025-12-02
[cst] cst软件探索eft虚拟测试:从iec标准到3d仿真实战
2025-12-01
[abaqus] abaqus中理想弹塑性模型和弹塑性硬化模型区别
2025-11-28
2025-11-28
2025-11-28
[abaqus] 上课啦!达索系统 simulia abaqus pcb仿真
2025-11-26
[cst] 无参优化器:利用cst和tosca进行拓扑优化之单极天线(
2025-11-26
2023-08-29
2023-08-24
[abaqus] abaqus如何建模?abaqus有限元分析教程
2023-07-07
[abaqus] 有限元分析软件abaqus单位在哪设置?【操作教程】
2023-09-05
[abaqus] abaqus软件中interaction功能模块中的绑定接
2023-07-19
[abaqus] abaqus怎么撤回上一步操作?abauqs教程
2024-05-01
[abaqus] abaqus里面s11、s12和u1、u2是什么意思?s和
2023-08-30
[abaqus] abaqus单位对应关系及参数介绍-abaqus软件
2023-11-20
[abaqus] abaqus软件教程|场变量输出历史变量输出
2023-07-18
[abaqus] abaqus中的s、u、v、e、cf分别是什么意思?
2024-05-11
[行业资讯] simulia简介-abaqus代理经销商思茂信息
2025-12-05
2025-12-05
[行业资讯] 如何合理选购abaqus软件并获取报价?达索代理商思茂信息
2025-12-05
[行业资讯] 思茂信息亮相2025省博士创新站活动 共探产学研新路径
2025-12-02
[行业资讯] 正版abaqus全国代理商:思茂信息——达索授权认证
2025-11-25
[行业资讯] 怎么联系cst studio suite代理商?达索sim
2025-11-25
2025-11-24
[行业资讯] 广东有限元分析软件abaqus采购指南-认准达索授权思茂信
2025-11-21
[行业资讯] 达索abaqus、cst代理商采购流程-指定授权代理商思茂
2025-11-21
[行业资讯] 广东2025半导体及零部件学会发展论坛落幕,广州思茂信息获
2025-11-20
地址: 广州市天河区天河北路663号广东省机械研究所8栋9层 电话:020-38921052 传真:020-38921345 邮箱:thinks@think-s.com
凯发k8官方网娱乐官方 copyright © 2010-2023 广州思茂信息科技有限公司 all rights reserved. 粤icp备11003060号-2