2022年,我国新能源汽车销售688.7万辆,同比增长93.4%,市场占有率达到了25.6%。其中,动力电池作为新能源车辆尤其是纯电动车辆的核心动力源,2022年全年,我国动力电池累计装车量294.6gwh,累计同比增长90.7%。在纯电动汽车中,电池包系统重量占整车20%以上。一般认为纯电动汽车重量降低10%,续航里程便可增加约6%。
因此,在电动汽车高速扩张的新时期,如何给动力电池包降重成为汽车研究领域的重点课题。在动力电池系统中,电池壳占系统总重量约 20-30%,是主要结构件,因此在保证电池系统功能安全和车辆整体安全的前提下,电池壳的轻量化已经成为电池系统主要改进目标之一。
与普通材料相比,复合材料以高比强度、高比模量、高耐疲劳性、强抗断裂能力等优异的力学性能和较轻的密度 成为了动力电池包降重的新趋势。但是同时,也为动力电池包的有限元仿真带来了巨大的挑战。南京理工大学的王丽娟等 [1] 通过仿真实现了有效的轻量化设计,对不同结构的电池包箱体实现了 23% 的减重 ; 毛占稳等 [2] 将电池包下箱体的材料
替换成了碳纤维复合材料,实现了有效的减重。
本文结合先前研究者的科研理论、分析方法和 汽车电池包结构特性,以某款电池包整体为研究对象,利用abaqus中强大的非金属复合材料本构模拟能力,即进行电池包结构强度耐久性能分析,并为其优化方向提供参考。
2. 非金属材料本构模型选取
本文涉及的动力电池包主要结构件包括上下箱体、液冷板、电芯、电子元器件等结构。其中非金属材料包括拉挤非金属下箱体、纤维铺层上箱体、胶、缓冲垫等。abaqus 针对不同非金属材料提供了不同的材料本构模型用于精准模拟其力学行为[4]。
2.1 拉挤非金属下箱体
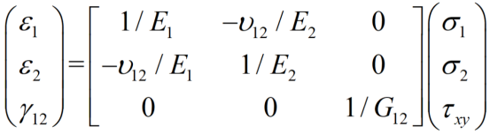
拉挤工艺是一种连续生产复合材料型材的方法,它是将纱架上的无捻玻璃纤维粗纱和其他连续增强材料,例如聚脂表面毡等,进行树脂浸渍,然后通过保持一定截面形状的成型模具,并使其在模内固化成型后连续出模,由此形成拉挤制品的一种自动化生产工艺[3]。根据其材料力学特性,在 abaqus 中采用正交各向异性材料本构进行模拟。正交各项异性材料具有三个互相垂直坐标轴的材料弹性对称性,将坐标轴 x、y 和 z 分别垂直于三个材料对称,并要求绕这些轴转动 180°之后弹性性能不发生改变。其完整的三维弹性应力应变关系定义见图 1 所示。
图 1. 正交各向异性材料三维弹性应力应变关系定义
2.2 纤维铺层上箱体
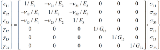
该电池包上箱体采用纤维铺层材料设计,采用层压工艺, 由基体树脂和玻璃纤维制备纤维复合材料,用缠绕法制作玻璃纤维单向板,分别采用 0 °,90 °不同铺层角度制作预浸料,并固化成型。根据其材料力学特性,在 abaqus 中采用平面应力上的正交各向异性材料本构进行模拟玻璃纤维单向板,见图 2 所示。并利用 abaqus/cae 提供的提供复合材料铺层管理器-composite layup 进行铺层设计,见图 3 所示。
图 2. 平面应力上的正交各向异性材料三维弹性应力应变关系定义
图 3. abaqus 中铺层设置原理和铺层管理器
动力电池包中为了减少金属连接件并加强密封性能,采用的大量的胶进行粘接和密封。其中电芯底部采用导热结构胶与液冷板粘接,横纵梁之间、边框与液冷板之间、横纵量与液冷板之间采用密封结构胶粘接。在 abaqus 中选取线弹性材料模拟结构胶本体,另外采用 cohesive 接触模拟胶层与母材的粘接,接触属性定义见图 4。
图 4. cohesive 接触属性和损伤演化定义
2.4 缓冲垫
动力电池缓冲垫一般采用硬质橡胶缓冲垫,以硅橡胶为基材,加以补强、阻燃等功能填料进行改性而成。不含有害物质,具有良好的阻燃性,基材高度柔软的特性可达到密封、缓冲的作用。由于单体预压缩等影响,动力电池包中缓冲垫一般处于压缩状态,所以在 abaqus 中选用超弹性材料定义压缩曲线来模拟。为保证其精准度,需要与试验数据进行对比,见图 5 所示,两者之间的吻合度在 90%以上。
图 5. 试验数据和有限元仿真数据压缩力学性能对比
3. 有限元仿真
基于上述 abaqus 材料本构的选择,并结合电池包详细结构,对电池包进行有限元模型划分,见图 6。连接部分多为胶接和螺栓连接, 螺栓连接处用的是 rbe2 连接,能较好地模拟现实 螺栓的固定作用。在电池模组内部和模组与水冷板之间使用的是胶接,单元信息如表 1 所示。
图6. 电池包有限元模型示意图
表1. 电池包有限元模型单元信息表
3.1 静力学分析结果
结合动力电池实际路试工况确定该动力电池包静力学仿真极限工况,见表 2 所示。
表2. 动力电池包静力学仿真极限工况
注:g ——重力加速度,g =9.8 m/s2 。
采用 abaqus 对表 2 所述的全部工况进行求解,并针对不同的材料分别按照不同的评价
体系进行评价。详细的计算结果见表 3 所示。
表3. 动力电池包静力学仿真极限工况结果判定
其中,上箱体的仿真结果见图 7 所示,下箱体的仿真结果见图 8 所示。
图7. 上箱体tsai-wu理论失效系数云图
图8. 下箱体s12应力云图
3.2 模态与随机振动分析结果
模态是结构系统的固有振动特性,不仅包括频率还包括振型。电池包进行模态分析主要是确定各个零部件的 1 阶模态和整包 1 阶振动主频(电芯参与振动),以便确定电池包不会在路面激励或台架激励高能量区发生共振。abaqus计算随机振动主要是基于模态动力学原理实现随机振动载荷产生的应力在统计学上概率分布。
对不同的材料分别按照不同的评价体系进行评价。模态的计算结果见图 9 和图 10 所示,随机振动详细的计算结果见表 4 所示。
图9. 上箱体1阶频率振型云图
图10. 整包1阶频率振型云图
表5. 动力电池包随机振动工况结果判定
由模态计算结果可知,动力电池上箱体 1 阶模态 34hz,而整包的 1 阶主频较低在22hz 左右,处于路面激励范围,并且在国标规定的随机振动高能量区内,有较强的共振风险。并且随机振动计算结果显示液冷板 z 向随机振动损伤达到 6542,远远超过限值 1。主要原因是该动力电池包液冷板为电芯的主要承力结构,并且电芯采用 ctp 构架,并未形成一个刚度较大的整体结构。
图11. 液冷板随机振动损伤云图
4. 台架试验验证
针对有限元仿真的危险工况,按照 gb 38031-2020 的规定进行电池包 z 向随机振动验证。将电池动力系统按照实际装车的方式通过工装(与仿真一致)固定于电动振动台,如图 12 所示。
图12. 随机振动试验台
z 向随机振动试验后,对电池箱体内部结构进行检查测试。通过检查上箱体、下箱体电池模组等结构件情况发现,内部零部件无变形、无开裂等异常现象。对箱体进行举升后发现液冷板出现开裂情况,开裂位置位于横纵梁与模组之间,与有限元仿真结果吻合。
5. 结构改进与验证
根据有限元仿真与试验验证结果,对动力电池进行结构改进。由于动力电池液冷板为薄板结构,上下两层不超过 3mm,并且采用的 3 系铝合金具有较低的强度极限。所以应该避免液冷板结构承受过大的载荷与应力。改进措施如下:
1)单体两侧肩部增加压板,压板通过结构胶与电芯进行粘接,让电芯形成模组。
2)将密封结构胶更改为结构胶,增加硬化后的刚度,提高电池包 1 阶主频。
3)增加电芯两侧底部结构胶溢胶量,是电芯与横纵梁、边框之间形成刚性连接。
通过以上改进措施,重新计算动力电池包危险工况与模态,发现动力电池包 1 阶主频上升至 36hz,对比原有结构的 22hz,上升 39%,静力学危险工况与随机振动满足要求,并且通过试验验证后,全部结构件无开裂和明显变形。
6. 结语
本文利用 abaqus 强大的非金属材料本构仿真能力,以一款非金属复合材料箱体动力电池包为例,在实际装配与试验状态的基础上进行静力学危险工况、模态、随机振动分析,并根据不同的材料本构选用不同的评价标准评价,同时利用随机振动试验验证了有限元分析的正确性。并且针对液冷板随机振动开裂给出了结构改进方案,并进行验证。
资料来源:达索官方
2025-12-05
[行业资讯] simulia简介-abaqus代理经销商思茂信息
2025-12-05
[行业资讯] 如何合理选购abaqus软件并获取报价?达索代理商思茂信息
2025-12-05
[行业资讯] 思茂信息亮相2025省博士创新站活动 共探产学研新路径
2025-12-02
[cst] cst软件探索eft虚拟测试:从iec标准到3d仿真实战
2025-12-01
[abaqus] abaqus中理想弹塑性模型和弹塑性硬化模型区别
2025-11-28
2025-11-28
2025-11-28
[abaqus] 上课啦!达索系统 simulia abaqus pcb仿真
2025-11-26
[cst] 无参优化器:利用cst和tosca进行拓扑优化之单极天线(
2025-11-26
2023-08-29
2023-08-24
[abaqus] abaqus如何建模?abaqus有限元分析教程
2023-07-07
[abaqus] 有限元分析软件abaqus单位在哪设置?【操作教程】
2023-09-05
[abaqus] abaqus软件中interaction功能模块中的绑定接
2023-07-19
[abaqus] abaqus怎么撤回上一步操作?abauqs教程
2024-05-01
[abaqus] abaqus里面s11、s12和u1、u2是什么意思?s和
2023-08-30
[abaqus] abaqus单位对应关系及参数介绍-abaqus软件
2023-11-20
[abaqus] abaqus软件教程|场变量输出历史变量输出
2023-07-18
[abaqus] abaqus中的s、u、v、e、cf分别是什么意思?
2024-05-11
[行业资讯] simulia简介-abaqus代理经销商思茂信息
2025-12-05
2025-12-05
[行业资讯] 如何合理选购abaqus软件并获取报价?达索代理商思茂信息
2025-12-05
[行业资讯] 思茂信息亮相2025省博士创新站活动 共探产学研新路径
2025-12-02
[行业资讯] 正版abaqus全国代理商:思茂信息——达索授权认证
2025-11-25
[行业资讯] 怎么联系cst studio suite代理商?达索sim
2025-11-25
2025-11-24
[行业资讯] 广东有限元分析软件abaqus采购指南-认准达索授权思茂信
2025-11-21
[行业资讯] 达索abaqus、cst代理商采购流程-指定授权代理商思茂
2025-11-21
[行业资讯] 广东2025半导体及零部件学会发展论坛落幕,广州思茂信息获
2025-11-20
地址: 广州市天河区天河北路663号广东省机械研究所8栋9层 电话:020-38921052 传真:020-38921345 邮箱:thinks@think-s.com
凯发k8官方网娱乐官方 copyright © 2010-2023 广州思茂信息科技有限公司 all rights reserved. 粤icp备11003060号-2