近年来,科技飞速发展,军事发展突飞猛进。在未来战场上,性能更为优秀的天线通讯设备将成为取得胜利的一大重要因素。研制更好的天线将会使己方拥有更多的电磁频谱控制权,在未来信息战的时代才能更好地完成电子侦察与反侦察、干扰与反干扰等任务。其中相控阵雷达在电子战中一直是不可或缺的一个部分,这种雷达能够很好地完成定位、跟踪、指导远程精确打击等任务。
在如今信息化的战场上,相控阵雷达已然是雷达发展的主要方向,较之于传统雷达,拥有更多的功能,能够获取到更多更精准的目标信息。在现阶段的发展中,宽带技术被引入相控阵雷达之中,宽带天线单元在相控阵雷达中被广泛应用。而且宽带天线单元在一定程度上决定着整个雷达的方向图特性。
在应用于机载相控阵中的天线单元中,要求天线单元具有宽频带特性以达到相控阵宽波束扫描的要求。同时,机载天线还有更为严苛的要求,不仅要求宽频带的特性,而且还要求在满足天线性能的同时要对天线的尺寸进行小型化设计,以节省成本,降低阻力和重量。目前主流的宽带相控阵单元中有vivaldi天线、微带贴片天线、螺旋天线、双锥天线等多种天线。其中,一般考虑的是采用vivaldi天线或是微带贴片天线作为相控阵天线单元。
vivaldi天线具有非周期性的结构,是一种渐变的行波天线error! reference source not found.,通常能够达到极高的增益,且极化方式为线极化。而且vivaldi天线因其天线的电尺寸、方向图不随工作频率的不同而变化的特性,致使其频带在理论上可以认为相当宽。vivaldi天线还拥有副瓣低、波束宽度可调的特性,这些特性使其不管是作为独立单元,亦或是组阵阵元都能拥有极佳的性能。
vivaldi天线与微带贴片天线虽然都可适用于机载天线组阵单元,但是本文中将要研究的天线带宽需要做到覆盖整个x波段。而微带贴片天线虽然具有易共形的特点,但是频带宽度较窄,无法做到覆盖整个x波段,因此本文选择频带更宽的vivaldi天线进行研究。
2 vivaldi 天线设计
2.1 vivaldi 天线结构概述
vivaldi 天线作为一种行波天线,需要满足行波机制的要求,vivaldi 天线的长度 l、宽度 w 以及指数渐变线 y 的尺寸一般能够通过以下公式获得。首先,vivaldi 天线的长度 l 应大于波长 λ 的一半,即:
λ 为最大工作波长。而天线的宽度 w 应大于波长 λ 的四分之一,即:
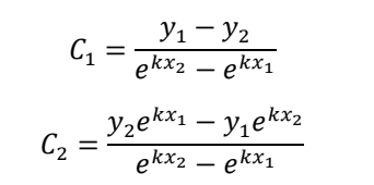
vivaldi 天线的槽线属于为指数渐变线,这类指数渐变线使 vivaldi 天线拥有相比于其他普通槽线天线更宽的带宽。在图 2-1 中 p1(x1,y1)为槽线的起点,p2(x2,y2)为槽线的终点,因此渐变指数槽线能够表示为:
图 2-1. vivaldi 天线示意图
其中,k 为指数曲线的增长率,决定了槽线的弯曲程度,c1、c2为通过两个定点计算出来的常数。可以通过下列两个式子计算得出:
不同频率下,vivaldi 天线能够利用指数渐变曲线的不同区域进行辐射[2]。根据天线的辐射性质不同,一般会划分为馈电区、传播区和辐射区三部分。
图 2-2. vivaldi 天线区域示意图
在图 2-2 中,在 w
在 we>w>wa的范围内,属于天线的传播区,在这个区域的耦合到槽线的能量会因为槽线间过近的间隔致使能量被限制于槽线之中无法进入自由空间,只能通过电磁波在传播区域中传播。
当电磁场在 w0>w>we的范围内,属于天线的辐射区,当 vivaldi 天线在工作时,电磁场会以波的形式沿着指数渐变槽线传播,而在辐射区域内,当电长度为辐射波长的二分之一时,电磁波将会辐射到自由空间。
而且,根据理论,天线在高频范围内具有良好的阻抗特性时,较长的辐射内臂能够使其拥有较大的带宽。
本文选择采用两节切比雪夫阻抗变换器以及一个扇形微带贴片,组成扇形微带短截线对文中所设计的天线进行馈电。并加载多个 y 型缝隙使回波损耗特性得到改善。
3 vivaldi 天线仿真建模与参数设置
本文设计了一款工作于 x 波段的加载多个 y 型缝隙的 vivaldi 天线,尺寸为 53.25mm×30mm,并通过在达索三维全波电磁场仿真工具 cst 中进行建模设计与参数优化。
3.1 天线具体建模操作
本次建模采用的是达索三维全波电磁场仿真工具 cst,版本为 2016 版。本次建模的为平面天线,因此,选择 cst 工具中的 mws 工作室中 antenna 中的 planar 进行建模。本次所设计的天线带宽覆盖整个 x 波段,因此属于宽带,根据经验,选择时域求解器作为求解器。设置各项单位时,一般天线设计为达到低剖面小型化的要求,一般尺寸不会过大,选取长度单位为 mm,时间为 ns,根据要求频段 8~12ghz,频率设置单位为ghz。本次实验中采用的介质基板为相对介电常数为 2.15 的介质材料,厚度为 0.5008mm,尺寸为53.25mm×30mm。
本次建模中通过工作栏中的 brick 并输入对应参数进行基板建模操作。然后,选中介质基板上表面,通过extrude 操作建立一个贴合上表面的材质为 pec 的贴片 patch。通过 local wcs,创建一个局部坐标系,通过transform 操作移动 wcs 至预定位置,通过工作栏中的 cylinders 来创建上表面的圆形谐振腔。将 wcs 移动至下一预定位置,通过 curves 中的 analytical curve,计算上文式 2-4 和式 2-5 的常数 c1、c2,并将常数代入式 2-3 中,获得内臂上曲线。通过工具栏中的 transform 中的 mirror 操作获得内臂下曲线,并使用直线将两条曲线进行闭合连接,以确保后面能够执行 extrude 操作。将之前的圆形谐振腔和内臂围成区域通过布尔操作相加在一起,并通过布尔操作中的 substract 操作将之前相加的区域从 patch 上减去。这样就能获得一个普通vivaldi 天线的上表面,如图 3-1 所示。
图 3-1. 普通 vivaldi 天线上表面
而对于本文中设计的 y 型缝隙则同样通过局部坐标系 wcs,在上方通过布尔操作画出五条 y 型缝隙,y 型缝隙从左到右,高度依次递减,从 6.5mm 到 4.5mm,递减数为 0.5mm,宽度为 1mm,同时 y型开叉长度为 1.414mm,各缝隙之间的间距为 6mm。在画好上方的 y 型缝隙后,通过 transform 中的mirror 操作将上方的 y 型缝隙对称到下方,然后通过布尔操作中的相减操作,将两边的 y 型缝隙减去,最后得到图 3-2 中的左图,为本次设计的天线上表面。
图 3-2. 天线上下表面示意图
对于图 3-2 中的右图,即下表面的建模,首先通过 cst 工具自带的 marcos 中的 calculate 进行馈线的阻抗计算,以获得较为确切的馈线参数,而扇形贴片的角度取值为 90°,半径为 2.5mm,通过局部坐标系的调整和布尔操作,可以获得一条完整的扇形微带短截线,且该短截线的材料设置为 pec。
3.2 激励源设置
在建模完毕的情况下,将需要根据经验来设置激励源,使用 waveguide port 进行激励源设置,对于这种微带线,波端口的下边缘必须与上表面重合。假设微带线的线宽为 w,介质层厚度为 h,则波端口高度一般设置为 6~10h;当 w≥h 时,波端口的宽度一般设置为 10w,当 w
3.3 天线其他条件设置
因为本文设计的天线的工作频带为 8~12ghz,因此设置频率范围为 7~13ghz,background 设置为 normal,边界条件设置为 open(add space),求解器的网格设置为 hexahedral,准确值设定为-40db。
4 仿真结果导出与分析
首先是最主要的 s 参数分析,如图 4-1 所示。图中的 s 参数显示从 8ghz 到 12ghz 的曲线均处于-10db以下,符合设计要求。而且可以达索三维全波电磁仿真工具 cst 支持导出数据以供 origin、matlab 等画图软件绘制曲线。通过工具栏中的 post processing 中的 import/export 导出对应的 s11 参数值,参数值以文本形式保存于电脑中,以便导入其他绘图软件,具体如图 4-2 所示,前一列为频率,后一列为损耗值。
图 4-1. vivaldi 天线回波损耗
图 4-2. 部分回波损耗参数表
图 4-3. vivaldi 天线电压驻波比
同样的对于 vswr(电压驻波比),数据后处理也类似于 s 参数,如图 4-3 所示。在图中可以看出在8~12ghz 的频率范围内,该天线电压驻波比低于 2,符合设计要求,同时也可以通过导出数据的文本形式用于在其他绘图软件中进行数据后处理。
其次是判断天线的增益是否符合要求。如图 4-4 所示,当频率为 8ghz 的时候,最大增益为 8.517db;
图 4-4. f=8ghz
如图 4-5 所示,当频率为 9ghz 的时候,最大增益为 8.206db;
图 4-5. f=9ghz
如图 4-6 所示,当频率为 10ghz 时,最大增益为 7.697db;
图 4-6. f=10ghz
如图 4-7 所示,当频率为 11ghz 的时候,最大增益为 8.055db;
图 4-7. f=11ghz
如图 4-4(e)所示,当频率为 12ghz 的时候,最大增益为 8.259db。
图 4-8. f=12ghz
可以看出这几个节点的增益均大于 6db,且以 0.06ghz 为 stepsize 时,仿真出来的结果中均可以看到最大增益大于 6db,符合设计要求。且每个节点对应的增益变化不大,符合 vivaldi 天线增益不随频率变化的特点。
5 结论
本文以达索三维全波电磁仿真工具 cst 为载体,针对实现覆盖 x 波段的机载天线这一问题,在电磁 mws工作室中,建立了 vivaldi 天线仿真模型。通过设置对应激励源和求解器,仿真出天线的回波损耗和电压驻波比以及特定频率的电磁场方向图。
但是,仿真终究是理想化的结果,在实验中采用都是 pec 的无损耗导体,与现实中的实物测试存在一定的差异。在后续的电磁仿真的研究上,使用其他介质材料或者使用其他形状的缝隙都会提升天线的效率和性能。在之后的工作中,完善模型和激励源需要深厚的理论基础和工程实践经验,同时也学要技术人员之间密切合作。
资料来源:达索官方
2025-12-05
[行业资讯] simulia简介-abaqus代理经销商思茂信息
2025-12-05
[行业资讯] 如何合理选购abaqus软件并获取报价?达索代理商思茂信息
2025-12-05
[行业资讯] 思茂信息亮相2025省博士创新站活动 共探产学研新路径
2025-12-02
[cst] cst软件探索eft虚拟测试:从iec标准到3d仿真实战
2025-12-01
[abaqus] abaqus中理想弹塑性模型和弹塑性硬化模型区别
2025-11-28
2025-11-28
2025-11-28
[abaqus] 上课啦!达索系统 simulia abaqus pcb仿真
2025-11-26
[cst] 无参优化器:利用cst和tosca进行拓扑优化之单极天线(
2025-11-26
2023-08-29
2023-08-24
[abaqus] abaqus如何建模?abaqus有限元分析教程
2023-07-07
[abaqus] 有限元分析软件abaqus单位在哪设置?【操作教程】
2023-09-05
[abaqus] abaqus软件中interaction功能模块中的绑定接
2023-07-19
[abaqus] abaqus怎么撤回上一步操作?abauqs教程
2024-05-01
[abaqus] abaqus里面s11、s12和u1、u2是什么意思?s和
2023-08-30
[abaqus] abaqus单位对应关系及参数介绍-abaqus软件
2023-11-20
[abaqus] abaqus软件教程|场变量输出历史变量输出
2023-07-18
[abaqus] abaqus中的s、u、v、e、cf分别是什么意思?
2024-05-11
[行业资讯] simulia简介-abaqus代理经销商思茂信息
2025-12-05
2025-12-05
[行业资讯] 如何合理选购abaqus软件并获取报价?达索代理商思茂信息
2025-12-05
[行业资讯] 思茂信息亮相2025省博士创新站活动 共探产学研新路径
2025-12-02
[行业资讯] 正版abaqus全国代理商:思茂信息——达索授权认证
2025-11-25
[行业资讯] 怎么联系cst studio suite代理商?达索sim
2025-11-25
2025-11-24
[行业资讯] 广东有限元分析软件abaqus采购指南-认准达索授权思茂信
2025-11-21
[行业资讯] 达索abaqus、cst代理商采购流程-指定授权代理商思茂
2025-11-21
[行业资讯] 广东2025半导体及零部件学会发展论坛落幕,广州思茂信息获
2025-11-20
地址: 广州市天河区天河北路663号广东省机械研究所8栋9层 电话:020-38921052 传真:020-38921345 邮箱:thinks@think-s.com
凯发k8官方网娱乐官方 copyright © 2010-2023 广州思茂信息科技有限公司 all rights reserved. 粤icp备11003060号-2