本文分析的是 little 125a 保险片在通电流为 94a,时间为 30 分钟后保险片的发热情况,并与实验室实际测量的保险片的温升做对比。
1 在 cae 中建立模型
中间的部分为保险片,两端的圆柱体为固定螺栓的简化模型,在此分析中,螺栓起到了传导热量的作用。
保险片与螺栓装配体的简化模型
2 输入材料参数:
保险片的材料为 cu,中间半圆球形的是 sn,两端的圆柱体是 fe。需要输入的数据有:热导率、密度、电导率、焦耳热系数、比热容。
3 assembly 模块:
将保险片和圆柱体螺栓模型装配起来,使它们的表面刚好接触。
4 step 模块:
选择瞬态分析,分析周期为 1800s,初始增量步为 1,最小增量步长为 1e-5,选择锡点的中心为 t1 点,最细的部分为 t2 点,腿部为 t3,边缘一点为 t4,设置 t1、t2、t3、t4 点的温度为历史输出数据。
5 load 模块:
负载设置一端为电流输入端,电流密度为 0.98a/mm2,电流的加载尽可能的模拟实际加载,因为加载面积与温升有着紧密的关系。
边界条件设置另一端点电压值为 0
6 interaction 模块
对于此次分析,根据经验判定,保险的发热不超过 150°c,所以它的辐射作用可以忽略,同时 stefan-boltzmann也不用设置,设置腿的部分和熔丝部分的对流系数,但是在此次分析中,因为有壳体的作用,所以中间融丝部分的对流系数不设置。
将螺栓与保险片接触的部分用 tie 约束加起来。
7 mesh 模块:
用分割命令分割模型,模型变为绿色或者黄色。
本分析用到了自由网格划分技术。此时模型的部分变为粉红色。
单元类型为热电耦合单元
8 分析结果:
保险片与螺栓的温升云图
由此图可以得出,保险片最大温升的部分为中间的锡点部分。
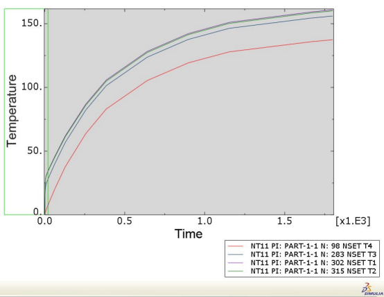
保险片锡点处的温升图
实验室测得的锡点 p1 的温度曲线如下图:
实验室保险片锡点处的温度
实验室测保险片的温度如下表:
用 abaqus 作出的结果与实验室的温度曲线做对比。1800s 时温度的差值为:(25 161-141.5)/141.5=0.314=31.4%
9 差异产生的来源:
实验室的密封性影响了空气的对流,导致对流系数的不稳定,一般对流强度会增大,所以实验室测的的数据小于 abaqus 的分析结果。
资料来源:达索官方
2025-12-05
[行业资讯] simulia简介-abaqus代理经销商思茂信息
2025-12-05
[行业资讯] 如何合理选购abaqus软件并获取报价?达索代理商思茂信息
2025-12-05
[行业资讯] 思茂信息亮相2025省博士创新站活动 共探产学研新路径
2025-12-02
[cst] cst软件探索eft虚拟测试:从iec标准到3d仿真实战
2025-12-01
[abaqus] abaqus中理想弹塑性模型和弹塑性硬化模型区别
2025-11-28
2025-11-28
2025-11-28
[abaqus] 上课啦!达索系统 simulia abaqus pcb仿真
2025-11-26
[cst] 无参优化器:利用cst和tosca进行拓扑优化之单极天线(
2025-11-26
2023-08-29
2023-08-24
[abaqus] abaqus如何建模?abaqus有限元分析教程
2023-07-07
[abaqus] 有限元分析软件abaqus单位在哪设置?【操作教程】
2023-09-05
[abaqus] abaqus软件中interaction功能模块中的绑定接
2023-07-19
[abaqus] abaqus怎么撤回上一步操作?abauqs教程
2024-05-01
[abaqus] abaqus里面s11、s12和u1、u2是什么意思?s和
2023-08-30
[abaqus] abaqus单位对应关系及参数介绍-abaqus软件
2023-11-20
[abaqus] abaqus软件教程|场变量输出历史变量输出
2023-07-18
[abaqus] abaqus中的s、u、v、e、cf分别是什么意思?
2024-05-11
[行业资讯] simulia简介-abaqus代理经销商思茂信息
2025-12-05
2025-12-05
[行业资讯] 如何合理选购abaqus软件并获取报价?达索代理商思茂信息
2025-12-05
[行业资讯] 思茂信息亮相2025省博士创新站活动 共探产学研新路径
2025-12-02
[行业资讯] 正版abaqus全国代理商:思茂信息——达索授权认证
2025-11-25
[行业资讯] 怎么联系cst studio suite代理商?达索sim
2025-11-25
2025-11-24
[行业资讯] 广东有限元分析软件abaqus采购指南-认准达索授权思茂信
2025-11-21
[行业资讯] 达索abaqus、cst代理商采购流程-指定授权代理商思茂
2025-11-21
[行业资讯] 广东2025半导体及零部件学会发展论坛落幕,广州思茂信息获
2025-11-20
地址: 广州市天河区天河北路663号广东省机械研究所8栋9层 电话:020-38921052 传真:020-38921345 邮箱:thinks@think-s.com
凯发k8官方网娱乐官方 copyright © 2010-2023 广州思茂信息科技有限公司 all rights reserved. 粤icp备11003060号-2