整车振动舒适性为整车重要的性能指标,在车辆开发过程中占据重要地位。本文以轿车白车身为研究对象,基于前处 理软件 ansa 和有限元分析软件 abaqus,应用有限元分析理论,建立整车有限元模型,通过对接头进行变参,利用灵敏度算法得到各 接头贡献大小,同时进行优化给设计提供指导。
现今汽车行业发展正处于加速转型期,新材料、新结构、新工艺层出不穷,对乘员舒适性提出了更高的要求。本文以某轿车整车为研究对象,建立一种灵敏度方法,通过变参分析,找到影响真因并给予优化。
1 振动舒适性介绍
1.1 振动舒适性基本定义
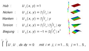
我们将整车的运动拆解成典型的五个运动形式,并假设整体运动行为有这五个成分构成。相当于综合变量的分析量合成。与模态贡献量(模态在方向上的表达(模态质量百分比))与模态缩放因子(传涵)与振型的迭加(曲线)不同;舒适性指标为真实相应等效变量,每工况单独考察。
式 1 振型分解公式
formula. mode decomposition formula
依据以上假设,我们将实际相应位移有多项式表达,其中每一个系数代表对向量的缩放,而每一个向量(幅值为 1)代表一种运动姿态,如下图:
图 1 振型分解图
fig. 1 vibration mode decomposition diagram
其中五种形态分别代表车身运动的五种姿态。前三种依次为上下、点头、左右倾斜,表现为悬挂特性;
后两种分别为扭转与弯曲姿态。
图 2 识别点选取
fig. 3 identification point selection我们将下车身选取 10 个点,按参与因子构成五个
方程。而整车的运动有五种运动迭代而成。图 4 揭示了整车振动舒适性的原理,激励源产生的激励经过底盘,通过悬架传导到车身上,其响应的加速度数值可以明确表征车内乘员的舒适程度,根据经验来看,一旦最大值大于 0.3m/s2 则需采取措施进行优化。在路面输入一致的前提下,如何改善车身传递特性成为研究重点。而车身传递特性和 ets 直接相关,其关联一是看 0hz 附近数值大小,二是看波动出现的位置。
图 3 振动舒适性原理解释
fig. 3 vibration comfort principle explanation
图 4 振动舒适性影响因素分析
fig.4 analysis of factors affecting vibration comfort
fig.5 vibration comfort simulation model
2 灵敏度分析
2.1 变量
变量的形式多种样,可以是单一特性元素,也可以是一个综合体。车身接头通常包含若干的钣金件,在设计过程中可以将其视为一个综合体,以其整体厚度缩放来描述其结构刚度水平,作为设计参数来研究其对车身性能的影响。
之所以这样定义变量,一是因为车身接头结构设计特点决定了它是由薄板构成,其本身结构特点并非各向同向性;二是由于每个公司设计水平都有各自特性,故而在原有的基础上进行等效缩放。
图 7 变量示意图
fig7 variable diagram
汽车平顺性评价方法方面进行了许多实验研究工作,但难以得到公认的评价方法和指标。直到 1974 年,国际标准化组织在综合大量有关人体全身振动的研究成果的基础上,制定了国际标准 iso2631:《人体承受全身振动评价指南》.新标准规定在评价振动时先计算各自由度上总的加权均方根值,再计算各输入点的振动加速度均方根,然后计算人体承受的总加速度均方根值,最后用总的振动加速度均方根值与人的主观感觉来判断乘员舒适性.新标准基本上克服了原标准的缺点,在试验基础上给出了极为详细的频率加权函数轴加权系数以及明确的舒适性界限,同时还保留了大家熟悉的加速度均方根值作为评价指标,使用起来方便直观,是至今为止最为完善的评价方法。
如下图所示,通过整车 psd 分析,我们抽取扭转姿态的振动加速度历程作为检测对象,峰值在 0.3 以下合格。在 abaqus 中,我们将它作为响应,同时通过公式截取峰值
图 8 结果后处理
fig. 8 result post-processing
2.2 结果后处理及解读
以接头组刚度作为自变量,质量与振动舒适性作为响应进行灵敏度分析,由于目标望小,故贡献均为负值。
图 9 灵敏度结果
fig. 9 sensitivity results
从结果中我们发现:2、4、6 号结构贡献较大,可以作为性能优化的目标;1、3、5、7、8 贡献较小,可以作为减重目标。
针对初步数据挖掘,以舒适性为约束,重量为目标进行优化。优化历程如下 :
图 10 优化迭代过程
fig. 10 optimize the iterative process
3 结语
本文以接头为研究对象,针对整车振动舒适性指标进行性能挖掘,利用 abaqus 灵敏度功能,迅速找到主成分,有针对性优化,更能够降低乘员舱感受到的振动,提升驾乘体验。
资料来源:达索官方
2025-12-05
[行业资讯] simulia简介-abaqus代理经销商思茂信息
2025-12-05
[行业资讯] 如何合理选购abaqus软件并获取报价?达索代理商思茂信息
2025-12-05
[行业资讯] 思茂信息亮相2025省博士创新站活动 共探产学研新路径
2025-12-02
[cst] cst软件探索eft虚拟测试:从iec标准到3d仿真实战
2025-12-01
[abaqus] abaqus中理想弹塑性模型和弹塑性硬化模型区别
2025-11-28
2025-11-28
2025-11-28
[abaqus] 上课啦!达索系统 simulia abaqus pcb仿真
2025-11-26
[cst] 无参优化器:利用cst和tosca进行拓扑优化之单极天线(
2025-11-26
2023-08-29
2023-08-24
[abaqus] abaqus如何建模?abaqus有限元分析教程
2023-07-07
[abaqus] 有限元分析软件abaqus单位在哪设置?【操作教程】
2023-09-05
[abaqus] abaqus软件中interaction功能模块中的绑定接
2023-07-19
[abaqus] abaqus怎么撤回上一步操作?abauqs教程
2024-05-01
[abaqus] abaqus里面s11、s12和u1、u2是什么意思?s和
2023-08-30
[abaqus] abaqus单位对应关系及参数介绍-abaqus软件
2023-11-20
[abaqus] abaqus软件教程|场变量输出历史变量输出
2023-07-18
[abaqus] abaqus中的s、u、v、e、cf分别是什么意思?
2024-05-11
[行业资讯] simulia简介-abaqus代理经销商思茂信息
2025-12-05
2025-12-05
[行业资讯] 如何合理选购abaqus软件并获取报价?达索代理商思茂信息
2025-12-05
[行业资讯] 思茂信息亮相2025省博士创新站活动 共探产学研新路径
2025-12-02
[行业资讯] 正版abaqus全国代理商:思茂信息——达索授权认证
2025-11-25
[行业资讯] 怎么联系cst studio suite代理商?达索sim
2025-11-25
2025-11-24
[行业资讯] 广东有限元分析软件abaqus采购指南-认准达索授权思茂信
2025-11-21
[行业资讯] 达索abaqus、cst代理商采购流程-指定授权代理商思茂
2025-11-21
[行业资讯] 广东2025半导体及零部件学会发展论坛落幕,广州思茂信息获
2025-11-20
地址: 广州市天河区天河北路663号广东省机械研究所8栋9层 电话:020-38921052 传真:020-38921345 邮箱:thinks@think-s.com
凯发k8官方网娱乐官方 copyright © 2010-2023 广州思茂信息科技有限公司 all rights reserved. 粤icp备11003060号-2