制动器是制动系统中产生阻碍车辆运动或相对运动趋势的力的部件。整个制动过程是利用盘式制动器将汽车行驶的动能转化为摩擦产生的热能过程。在实际使用的过程中,制动盘的最高温度会达到 300-400℃;连续多次制动或高速制动时,热流密度输入量大,同时制动时间较短,导致制动盘温升很快,通常情况下,会导致制动力矩飞速下降。
摩擦耦合件的摩擦热能使其摩擦表面部分区域出现高温、表面氧化,严重会有热疲劳磨损的现象,严重会使制动器失效,给行车安全带来很大隐患。但伴随着科技进步、工作节奏加快,人们对行车的高速、环保、舒适、安全等的要求也日益严格,对相同尺寸或是更小尺寸的制动器意味着,更小的摩擦接触区域承受大几倍甚至是几十倍的热量,也为制动器提出了更高的要求。因此为了保障行车的安全性和可靠性,必须研究出摩擦副的热衰退和热损伤等问题的解决办法,而这些问题的根源就是制动时产生的摩擦热。
实际使用过程中,摩擦副产生的摩擦热主要由制动盘和摩擦片吸收,其中摩擦片通常由非金属材料组成,制动盘则由金属材料制成,其导热性能较摩擦片好。从而,制动盘吸收绝大部分的摩擦热能,因此其承受更多的热载荷。因此本文只分析了制动盘的温度场和应力场的分布规律。
1 制动的摩擦生热理论
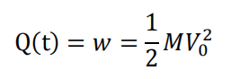
对于制动盘的温度场仿真分析,通常是采用能量折算的方法计算制动过程产生的热流 密度,这里需认为输入的热流密度是均与分布在摩擦表面的。根据能量守恒定律分析 制动过程,本文针对客车的四分之一模型,假设从制动开始到结束的动能全部都转化 为摩擦耦合件的生热能量,则摩擦耦合件产生的热能为
式中 m 为轴载荷 kg; v0为客车制动时的初始速度 m/s 该公式只是在理论上可以成立,但在实际的制动过程需要考虑很多外在的因素,如:空气阻力与客车摩擦产生的热能、各个运动部件之间的摩擦产生的热能、轮胎跟地面 摩擦产生的热能等很多能量均由动能转化而来。因此在制动的过程中,制动盘的输入热量还需考虑动能的转化比例。本文中制动盘的输入修正热量为
式中,η为制动盘吸收热量占总动能的比重
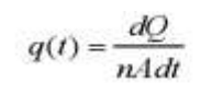
若忽略摩擦产生的热量沿径向和轴向分布的差异,这里将摩擦产生热量转为对应的热流密度均与分布在制动盘摩擦区域的每个节点,则由热流密度的公式,可知摩擦盘上热流密度与制动时间 t 的公式为:
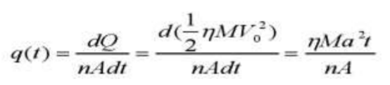
本文中假设制动过程为匀减速过程,客车的减速度为 a,可得制动盘的摩擦面上热流
密度与制动时间的关系为
一般有 80-90%的能量由制动副转化为热量消耗掉,文中取 90%。由公式可得出,通过能量折算法计算的热流密度随着制动时间的增加而线性递减,而递减的斜率与客车载重、加速度的二次方成正比,且与摩擦面的个数、摩擦片面积成反比
2 制动系统有限元模型建立
本文以某制动器为研究对象,应用 ug 软件建立相应的制动盘三维模型,将其三维模型转化为 stp 格式,导入 abaqus 软件对制动盘进行网格划分。在网格划分时,要考虑网格的 大小与单元类型对结果的影响,本文选用 3mm 为网格划分的基本尺寸,网格单元选用热结构耦合专用单元 c3d4t,制动盘的材料为 ht250, 整车与制动盘参数见表
制动盘的材料
整车与制动盘参数
热流密度的确定
制动过程的热应力分析,实际是车辆动能转化为摩擦生热和克服阻力做功的过程。其 中,摩擦生热的能量一部分被地面消耗,大部分是被制动盘和摩擦片吸收。分析过程中, 直接将摩擦副吸收的能量转化成热流密度施加在制动盘摩擦表面,计算公式参考上文,本文只对制动盘单次制动升温与多次连续制动制动盘表面的温度进行分析制动盘单次制动升温:根据《qc/t 564-2008 乘用车制动器性能要求及台架实验方法》相关规定,汽车以 100km/h 的初始速度进行紧急制动,其制动减速度为 6.125m/s2,制动时间为4.54s。
图 单次制动升温云图
制动盘多次制动升温: 车辆初速 64km/h,以 0.5g 的减速度制动至 24km/h,制动时间为2.27秒,间隔时 20 秒,以 22.27 秒为一个制动循环。又从速度为 64km/h,同样以 4.9m/s2 的减速度制动至 24km/h。总共进行 80 次制动循环,如图 abaqus 中工况的设置
abaqus 中工况的设置
图 多次制动升温云图
3 总结
通过能量守恒对制动盘在单次与多次制动的热密度进行了计算,在产品开发前期可以定量的了解制动盘的温度情况,通过该方法减少产品制动盘的开发周期,提高产品的可靠性及经济效益。
资料来源:达索官方
2025-12-05
[行业资讯] simulia简介-abaqus代理经销商思茂信息
2025-12-05
[行业资讯] 如何合理选购abaqus软件并获取报价?达索代理商思茂信息
2025-12-05
[行业资讯] 思茂信息亮相2025省博士创新站活动 共探产学研新路径
2025-12-02
[cst] cst软件探索eft虚拟测试:从iec标准到3d仿真实战
2025-12-01
[abaqus] abaqus中理想弹塑性模型和弹塑性硬化模型区别
2025-11-28
2025-11-28
2025-11-28
[abaqus] 上课啦!达索系统 simulia abaqus pcb仿真
2025-11-26
[cst] 无参优化器:利用cst和tosca进行拓扑优化之单极天线(
2025-11-26
2023-08-29
2023-08-24
[abaqus] abaqus如何建模?abaqus有限元分析教程
2023-07-07
[abaqus] 有限元分析软件abaqus单位在哪设置?【操作教程】
2023-09-05
[abaqus] abaqus软件中interaction功能模块中的绑定接
2023-07-19
[abaqus] abaqus怎么撤回上一步操作?abauqs教程
2024-05-01
[abaqus] abaqus里面s11、s12和u1、u2是什么意思?s和
2023-08-30
[abaqus] abaqus单位对应关系及参数介绍-abaqus软件
2023-11-20
[abaqus] abaqus软件教程|场变量输出历史变量输出
2023-07-18
[abaqus] abaqus中的s、u、v、e、cf分别是什么意思?
2024-05-11
[行业资讯] simulia简介-abaqus代理经销商思茂信息
2025-12-05
2025-12-05
[行业资讯] 如何合理选购abaqus软件并获取报价?达索代理商思茂信息
2025-12-05
[行业资讯] 思茂信息亮相2025省博士创新站活动 共探产学研新路径
2025-12-02
[行业资讯] 正版abaqus全国代理商:思茂信息——达索授权认证
2025-11-25
[行业资讯] 怎么联系cst studio suite代理商?达索sim
2025-11-25
2025-11-24
[行业资讯] 广东有限元分析软件abaqus采购指南-认准达索授权思茂信
2025-11-21
[行业资讯] 达索abaqus、cst代理商采购流程-指定授权代理商思茂
2025-11-21
[行业资讯] 广东2025半导体及零部件学会发展论坛落幕,广州思茂信息获
2025-11-20
地址: 广州市天河区天河北路663号广东省机械研究所8栋9层 电话:020-38921052 传真:020-38921345 邮箱:thinks@think-s.com
凯发k8官方网娱乐官方 copyright © 2010-2023 广州思茂信息科技有限公司 all rights reserved. 粤icp备11003060号-2