本次主要通过abaqus软件对钢筋混凝土适筋梁的正截面破坏进行模拟。对比随着加载时间的增长,加载位移的逐渐增大,而产生相应的挠度变化和裂缝的出现和发展过程。了解适筋梁的破坏特征,将实验的裂缝产生规律与模拟的过程进行一个相应的比较
1 钢筋混凝土梁的试件尺寸及配筋图
试件特征:根据试验要求,试验梁的混凝土强度等级为 c30,混凝土保护层厚度为25mm。
适筋梁:①为 2φ18。梁的中间 400mm 区段内无腹筋,其余区域配有 6@100 的箍筋,以保证不发生斜截面破坏。梁的受压区配有两根架立筋,通过箍筋与受力筋绑扎在一起,形成骨架,保证受力钢筋处在正确的位置。
图 1 试件尺寸及配筋图
2 基于实体单元模型的建立
根据原始构件尺寸及配筋图通过创建钢筋、混凝土实体以及将实体装配等过程进行钢筋混凝土梁的建立,并给钢筋混凝土梁施加位移条件和边界条件。
图 2 适筋梁模型
3 基于实体单元的模拟
3.1 单元类型选择
abaqus 软件中实体单元类型种类居多,功能多样,应用广泛。本文根据模型的受力特点,混凝土采用三维二节点实体缩减积分单元(c3d8r) , 即满足精度又可以减小计算量。钢筋采用三维二节点桁架单元(t3d2)。
3.2 混凝土本构模型
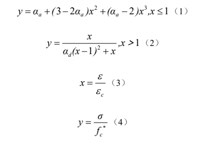
本文在进行实体单元模拟时,混凝土本构模型选取混凝土塑性损伤(cdp)模型。根据我国《混凝土结构设计规范》(gb 50010—2002)给出的混凝土单轴受压和受拉应力-应变曲线方程进行计算。受压应力-应变曲线如图 3 所示,计算公式见式(1)—式(4)。
图 3 混凝土单轴受压应力应变曲线
式中:αa、αd为混凝土单轴受压应力-应变曲线上升段和下降段的参数值,按规范要求取值;f *c 为混凝土单轴抗压强度;εc 为与 f *c相对应的混凝土峰值压应变。混凝土单轴受拉应力-应变曲线如图 4 所示,计算公式见式(4)—式(8)。
式中,αt为混凝土单轴受拉应力-应变曲线下降段的参数值,按规范要求取值;f *t 为混凝土单轴抗拉强度;εt为与 f *t相对应的混凝土峰值拉应变。
同时,在采用 cdp 模型模拟计算时,还需输入膨胀角、偏心率、抗压强度比(fb0/fc0)、拉伸子午面上和压缩子午面上的第二不变应力与不变量之比(k)及黏性系数 5 个参数,参数值见表1。
表 1 cdp 模型其它参数取值
3.3 钢筋本构模型
钢筋本构模型采用 abaqus 中自带的自动强化模型,本构模型如图 3 所示,es 为钢筋初始弹性模量,e为钢筋屈服后的弹性模量,钢筋屈服后弹性模量 e=αes,α取 0.001,f y为钢筋屈服应力。
图 5 钢筋本构模型
4 适筋梁受拉区裂缝出现与破坏过程
4.1 适筋梁加载前
图 6 构件受拉区加载前示意图
钢筋混凝土梁采用对称加载的方式进行,将梁划分成四等分,即加载位移之前相距950mm。对受弯构件两端的侧面施加边界条件将其固定,并在对称加载处逐渐施加位移增量,观察梁的裂缝发展规律。
4.2 适筋梁加载后受拉区变化特征
图 7 第 20 步时的受拉破坏图
图 8 第 80 步时的受拉破坏图
图 9 第 206 步时的受拉破坏图
图 10 第 510 步时的受拉破坏图
当适筋梁加载至 20 增量步时,构件开始出现微裂纹,此处混凝土开始出现变形特征,并且大概在对称位置出现破坏现象。当适筋梁加载至 80 步左右时,微裂纹由加载位置处逐渐向两端开始破坏,微裂纹逐渐增大成为受拉裂缝,裂缝逐渐增多,混凝土开裂破坏现象较为明显。当适筋梁加载至 206 增量步左右时,随着位移的增加,裂缝的开展基本成对称分布,裂缝的数量由中部逐渐向两端逐渐增加,受拉区中部的裂缝出现较多,此时受压区混凝土开始出现裂纹。当适筋梁加载至 510 增量步时,受拉区裂缝开展至两端并发生破坏,此时裂缝逐渐开展至受压区。
4.3 适筋梁加载后受拉区最终破坏特征
图 11 构件受拉区加载后最终示意图
当适筋梁增量加载到 1557 步时,构件发生大面积破坏,破坏从加载位置不断延伸,在构件两端的位置破坏较跨中更严重。初步认为由于位移加载两受力点之间的距离相对较远,若减小加载位置之间的距离,则在构件受拉侧的两端斜裂缝的开展较慢。
5 适筋梁受压区裂缝出现与破坏过程
5.1 适筋梁加载后受压区变化特征
图 12 第 216 步时的受压破坏图
图 13 第 450 步时的受压破坏图
图 14 第 700 步时的受压破坏图
当位移加载距离控制在 950mm 时,受压区在增量步达到 216 步左右才开始产生破坏特征。随着位移的逐渐增大,开始沿斜截面方向产生破坏,在增量步达到450 步左右,受压区混凝土裂纹出现逐渐增多的现象。在增量步至 700 步左右时,裂纹开展至受拉区底部,发生斜截面剪切破坏。
5.2 适筋梁加载后受压区最终破坏特征
图 15 构件受压区加载后最终破坏示意图
在增量步达到 1557 步时,斜截面混凝土被压碎,受压区正截面混凝土未被压碎,仅出现微裂纹。由于加载位置间距过大,正截面未发生压区损坏,仅出现了变形增大的现象。混凝土受压区未被压碎,受压区钢筋部分屈服。
6 适筋梁钢筋云图
图 16 未加载时钢筋云图
图 17 加载完成后的钢筋云图
与未加载时钢筋应力云图相比较,钢筋至位移对称加载完后,受拉区钢筋中部达到极限拉应力状态,受压区钢筋在两端荷载加载处附近达到极限压应力状态,此时混凝土也已被压碎。
7 整体应变能的变化
构件的应变能是以应力与应变的形式贮存在物体中。随着时间的逐渐增加,整体应变能逐渐上升,即构件的变形呈逐渐增大的趋势,裂缝也在逐渐增加。此时构件整体开始损伤,强度降低,刚度逐渐下降,损伤耗散能逐渐提高。当增量步达到 1557 时,变形达到最大,此时构件已经损坏。整体应变能与损伤耗散曲线图如图:
图 18 整体应变能示意图
图 19 损伤耗散能量
8 荷载-挠度曲线
图 20 荷载-挠度曲线
根据荷载-挠度曲线图分析,钢筋混凝土简支梁在所受荷载较小的情况下,构件处于弹性工作阶段,跨中挠度随荷载增加速率缓慢,具有较大的刚度;随着荷载的继续增加,挠度增长的速度加快,构件进入弹塑性工作阶段,截面出现塑性区,刚度减小;当荷载增加到一定值时,出现荷载在一定值内波动,挠度快速增长的情况,这时构件出现塑性铰,构件濒临破坏。
9 结论
本文基于 abaqus 创建的模型实例,根据对称加载位置及裂缝破坏情况得出如下结论:
(1)由于对称加载位置过大,导致模拟的模型过快发生斜截面破坏支座处混凝土被压碎,并且正截面受压位置未被压碎,即适筋梁实际的破坏与模拟的破坏有一定差距。
(2)裂缝由受拉区加载位置以下附近逐渐开展向两端延伸,裂缝大致呈对称分布,受拉区钢筋达极限拉应力状态,受压区钢筋仅加载处达极限拉应力状态。
(3)构件强度逐渐降低,刚度退化显著,稳定性也随加载位移逐渐减小。
2025-12-05
[行业资讯] simulia简介-abaqus代理经销商思茂信息
2025-12-05
[行业资讯] 如何合理选购abaqus软件并获取报价?达索代理商思茂信息
2025-12-05
[行业资讯] 思茂信息亮相2025省博士创新站活动 共探产学研新路径
2025-12-02
[cst] cst软件探索eft虚拟测试:从iec标准到3d仿真实战
2025-12-01
[abaqus] abaqus中理想弹塑性模型和弹塑性硬化模型区别
2025-11-28
2025-11-28
2025-11-28
[abaqus] 上课啦!达索系统 simulia abaqus pcb仿真
2025-11-26
[cst] 无参优化器:利用cst和tosca进行拓扑优化之单极天线(
2025-11-26
2023-08-29
2023-08-24
[abaqus] abaqus如何建模?abaqus有限元分析教程
2023-07-07
[abaqus] 有限元分析软件abaqus单位在哪设置?【操作教程】
2023-09-05
[abaqus] abaqus软件中interaction功能模块中的绑定接
2023-07-19
[abaqus] abaqus怎么撤回上一步操作?abauqs教程
2024-05-01
[abaqus] abaqus里面s11、s12和u1、u2是什么意思?s和
2023-08-30
[abaqus] abaqus单位对应关系及参数介绍-abaqus软件
2023-11-20
[abaqus] abaqus软件教程|场变量输出历史变量输出
2023-07-18
[abaqus] abaqus中的s、u、v、e、cf分别是什么意思?
2024-05-11
[行业资讯] simulia简介-abaqus代理经销商思茂信息
2025-12-05
2025-12-05
[行业资讯] 如何合理选购abaqus软件并获取报价?达索代理商思茂信息
2025-12-05
[行业资讯] 思茂信息亮相2025省博士创新站活动 共探产学研新路径
2025-12-02
[行业资讯] 正版abaqus全国代理商:思茂信息——达索授权认证
2025-11-25
[行业资讯] 怎么联系cst studio suite代理商?达索sim
2025-11-25
2025-11-24
[行业资讯] 广东有限元分析软件abaqus采购指南-认准达索授权思茂信
2025-11-21
[行业资讯] 达索abaqus、cst代理商采购流程-指定授权代理商思茂
2025-11-21
[行业资讯] 广东2025半导体及零部件学会发展论坛落幕,广州思茂信息获
2025-11-20
地址: 广州市天河区天河北路663号广东省机械研究所8栋9层 电话:020-38921052 传真:020-38921345 邮箱:thinks@think-s.com
凯发k8官方网娱乐官方 copyright © 2010-2023 广州思茂信息科技有限公司 all rights reserved. 粤icp备11003060号-2